



Abstract:Even though Deep Neural Networks are extremely powerful for image restoration tasks, they have several limitations. They are poorly understood and suffer from strong biases inherited from the training sets. One way to address these shortcomings is to have a better control over the training sets, in particular by using synthetic sets. In this paper, we propose a synthetic image generator relying on a few simple principles. In particular, we focus on geometric modeling, textures, and a simple modeling of image acquisition. These properties, integrated in a classical Dead Leaves model, enable the creation of efficient training sets. Standard image denoising and super-resolution networks can be trained on such datasets, reaching performance almost on par with training on natural image datasets. As a first step towards explainability, we provide a careful analysis of the considered principles, identifying which image properties are necessary to obtain good performances. Besides, such training also yields better robustness to various geometric and radiometric perturbations of the test sets.
Abstract:State-of-the-art RGB texture synthesis algorithms rely on style distances that are computed through statistics of deep features. These deep features are extracted by classification neural networks that have been trained on large datasets of RGB images. Extending such synthesis methods to multispectral images is not straightforward, since the pre-trained networks are designed for and have been trained on RGB images. In this work, we propose two solutions to extend these methods to multispectral imaging. Neither of them require additional training of the neural network from which the second order neural statistics are extracted. The first one consists in optimizing over batches of random triplets of spectral bands throughout training. The second one projects multispectral pixels onto a 3 dimensional space. We further explore the benefit of a color transfer operation upstream of the projection to avoid the potentially abnormal color distributions induced by the projection. Our experiments compare the performances of the various methods through different metrics. We demonstrate that they can be used to perform exemplar-based texture synthesis, achieve good visual quality and comes close to state-of-the art methods on RGB bands.
Abstract:Diffusion models are now the undisputed state-of-the-art for image generation and image restoration. However, they require large amounts of computational power for training and inference. In this paper, we propose lightweight diffusion models for image inpainting that can be trained on a single image, or a few images. We show that our approach competes with large state-of-the-art models in specific cases. We also show that training a model on a single image is particularly relevant for image acquisition modality that differ from the RGB images of standard learning databases. We show results in three different contexts: texture images, line drawing images, and materials BRDF, for which we achieve state-of-the-art results in terms of realism, with a computational load that is greatly reduced compared to concurrent methods.
Abstract:Recent advances in the field of generative models and in particular generative adversarial networks (GANs) have lead to substantial progress for controlled image editing, especially compared with the pre-deep learning era. Despite their powerful ability to apply realistic modifications to an image, these methods often lack properties like disentanglement (the capacity to edit attributes independently). In this paper, we propose an auto-encoder which re-organizes the latent space of StyleGAN, so that each attribute which we wish to edit corresponds to an axis of the new latent space, and furthermore that the latent axes are decorrelated, encouraging disentanglement. We work in a compressed version of the latent space, using Principal Component Analysis, meaning that the parameter complexity of our autoencoder is reduced, leading to short training times ($\sim$ 45 mins). Qualitative and quantitative results demonstrate the editing capabilities of our approach, with greater disentanglement than competing methods, while maintaining fidelity to the original image with respect to identity. Our autoencoder architecture simple and straightforward, facilitating implementation.
Abstract:Video inpainting is the task of filling a desired region in a video in a visually convincing manner. It is a very challenging task due to the high dimensionality of the signal and the temporal consistency required for obtaining convincing results. Recently, diffusion models have shown impressive results in modeling complex data distributions, including images and videos. Diffusion models remain nonetheless very expensive to train and perform inference with, which strongly restrict their application to video. We show that in the case of video inpainting, thanks to the highly auto-similar nature of videos, the training of a diffusion model can be restricted to the video to inpaint and still produce very satisfying results. This leads us to adopt an internal learning approch, which also allows for a greatly reduced network size. We call our approach "Infusion": an internal learning algorithm for video inpainting through diffusion. Due to our frugal network, we are able to propose the first video inpainting approach based purely on diffusion. Other methods require supporting elements such as optical flow estimation, which limits their performance in the case of dynamic textures for example. We introduce a new method for efficient training and inference of diffusion models in the context of internal learning. We split the diffusion process into different learning intervals which greatly simplifies the learning steps. We show qualititative and quantitative results, demonstrating that our method reaches state-of-the-art performance, in particular in the case of dynamic backgrounds and textures.
Abstract:We propose an auto-encoder architecture for multi-texture synthesis. The approach relies on both a compact encoder accounting for second order neural statistics and a generator incorporating adaptive periodic content. Images are embedded in a compact and geometrically consistent latent space, where the texture representation and its spatial organisation are disentangled. Texture synthesis and interpolation tasks can be performed directly from these latent codes. Our experiments demonstrate that our model outperforms state-of-the-art feed-forward methods in terms of visual quality and various texture related metrics.




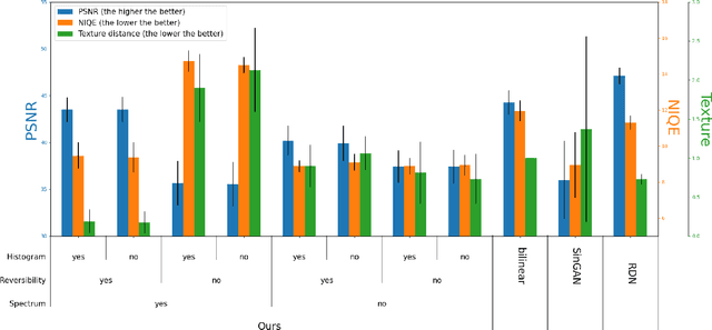
Abstract:Deep learning based methods for single-image super-resolution (SR) have drawn a lot of attention lately. In particular, various papers have shown that the learning stage can be performed on a single image, resulting in the so-called internal approaches. The SinGAN method is one of these contributions, where the distribution of image patches is learnt on the image at hand and propagated at finer scales. Now, there are situations where some statistical a priori can be assumed for the final image. In particular, many natural phenomena yield images having power law Fourier spectrum, such as clouds and other texture images. In this work, we show how such a priori information can be integrated into an internal super-resolution approach, by constraining the learned up-sampling procedure of SinGAN. We consider various types of constraints, related to the Fourier power spectrum, the color histograms and the consistency of the upsampling scheme. We demonstrate on various experiments that these constraints are indeed satisfied, but also that some perceptual quality measures can be improved by the proposed approach.




Abstract:Attention mechanisms have become of crucial importance in deep learning in recent years. These non-local operations, which are similar to traditional patch-based methods in image processing, complement local convolutions. However, computing the full attention matrix is an expensive step with a heavy memory and computational load. These limitations curb network architectures and performances, in particular for the case of high resolution images. We propose an efficient attention layer based on the stochastic algorithm PatchMatch, which is used for determining approximate nearest neighbors. We refer to our proposed layer as a "Patch-based Stochastic Attention Layer" (PSAL). Furthermore, we propose different approaches, based on patch aggregation, to ensure the differentiability of PSAL, thus allowing end-to-end training of any network containing our layer. PSAL has a small memory footprint and can therefore scale to high resolution images. It maintains this footprint without sacrificing spatial precision and globality of the nearest neighbours, which means that it can be easily inserted in any level of a deep architecture, even in shallower levels. We demonstrate the usefulness of PSAL on several image editing tasks, such as image inpainting and image colorization.




Abstract:We propose a novel architecture for GAN inversion, which we call Feature-Style encoder. The style encoder is key for the manipulation of the obtained latent codes, while the feature encoder is crucial for optimal image reconstruction. Our model achieves accurate inversion of real images from the latent space of a pre-trained style-based GAN model, obtaining better perceptual quality and lower reconstruction error than existing methods. Thanks to its encoder structure, the model allows fast and accurate image editing. Additionally, we demonstrate that the proposed encoder is especially well-suited for inversion and editing on videos. We conduct extensive experiments for several style-based generators pre-trained on different data domains. Our proposed method yields state-of-the-art results for style-based GAN inversion, significantly outperforming competing approaches. Source codes are available at https://github.com/InterDigitalInc/FeatureStyleEncoder .




Abstract:Large scale datasets created from crowdsourced labels or openly available data have become crucial to provide training data for large scale learning algorithms. While these datasets are easier to acquire, the data are frequently noisy and unreliable, which is motivating research on weakly supervised learning techniques. In this paper we propose original ideas that help us to leverage such datasets in the context of change detection. First, we propose the guided anisotropic diffusion (GAD) algorithm, which improves semantic segmentation results using the input images as guides to perform edge preserving filtering. We then show its potential in two weakly-supervised learning strategies tailored for change detection. The first strategy is an iterative learning method that combines model optimisation and data cleansing using GAD to extract the useful information from a large scale change detection dataset generated from open vector data. The second one incorporates GAD within a novel spatial attention layer that increases the accuracy of weakly supervised networks trained to perform pixel-level predictions from image-level labels. Improvements with respect to state-of-the-art are demonstrated on 4 different public datasets.