Abstract:This paper addresses the design of multi-antenna precoding strategies, considering hardware limitations such as low-resolution digital-to-analog converters (DACs), which necessitate the quantization of transmitted signals. The typical approach starts with optimizing a precoder, followed by a quantization step to meet hardware requirements. This study analyzes the performance of a quantization scheme applied to the box-constrained regularized zero-forcing (RZF) precoder in the asymptotic regime, where the number of antennas and users grows proportionally. The box constraint, initially designed to cope with low-dynamic range amplifiers, is used here to control quantization noise rather than for amplifier compatibility. A significant challenge in analyzing the quantized precoder is that the input to the quantization operation does not follow a Gaussian distribution, making traditional methods such as Bussgang's decomposition unsuitable. To overcome this, the paper extends the Gordon's inequality and introduces a novel Gaussian Min-Max Theorem to model the distribution of the channel-distorted precoded signal. The analysis derives the tight lower bound for the signal-to-distortion-plus-noise ratio (SDNR) and the bit error rate (BER), showing that optimal tuning of the amplitude constraint improves performance.
Abstract:This paper presents a performance analysis of two distinct techniques for antenna selection and precoding in downlink multi-user massive multiple-input single-output systems with limited dynamic range power amplifiers. Both techniques are derived from the original formulation of the regularized-zero forcing precoder, designed as the solution to minimizing a regularized distortion. Based on this, the first technique, called the $\ell_1$-norm precoder, adopts an $\ell_1$-norm regularization term to encourage sparse solutions, thereby enabling antenna selection. The second technique, termed the thresholded $\ell_1$-norm precoder, involves post-processing the precoder solution obtained from the first method by applying an entry-wise thresholding operation. This work conducts a precise performance analysis to compare these two techniques. The analysis leverages the Gaussian min-max theorem which is effective for examining the asymptotic behavior of optimization problems without explicit solutions. While the analysis of the $\ell_1$-norm precoder follows the conventional Gaussian min-max theorem framework, understanding the thresholded $\ell_1$-norm precoder is more complex due to the non-linear behavior introduced by the thresholding operation. To address this complexity, we develop a novel Gaussian min-max theorem tailored to these scenarios. We provide precise asymptotic behavior analysis of the precoders, focusing on metrics such as received signal-to-noise and distortion ratio and bit error rate. Our analysis demonstrates that the thresholded $\ell_1$-norm precoder can offer superior performance when the threshold parameter is carefully selected. Simulations confirm that the asymptotic results are accurate for systems equipped with hundreds of antennas at the base station, serving dozens of user terminals.
Abstract:Amid the demand for densely integrated elements in holographic reconfigurable intelligent surfaces (RISs), the mutual coupling effect has gained prominence. By performing a misspecified Cram\'er-Rao bound analysis within an electromagnetics-compliant communication model, this letter offers a quantitative evaluation of the impact of mutual coupling on RIS-assisted channel estimation. Our analysis provides insights into situations where mutual coupling can be disregarded safely. The numerical results reveal that within practical scenarios, closer integration of RIS elements or the enlargement of RIS size accentuates the impact of neglecting mutual coupling. In addition, even with mutual coupling-aware setups, excessively tight RIS element spacing can lead to substantial degradation in the channel estimation performance.




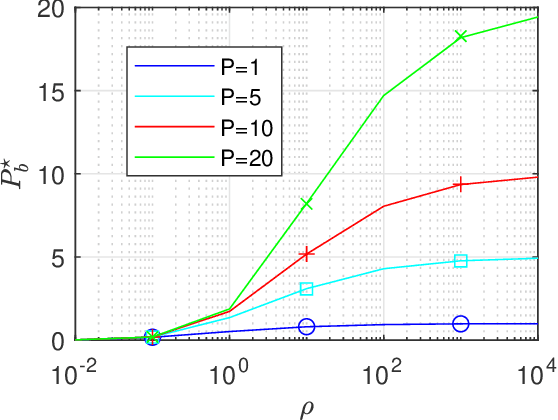
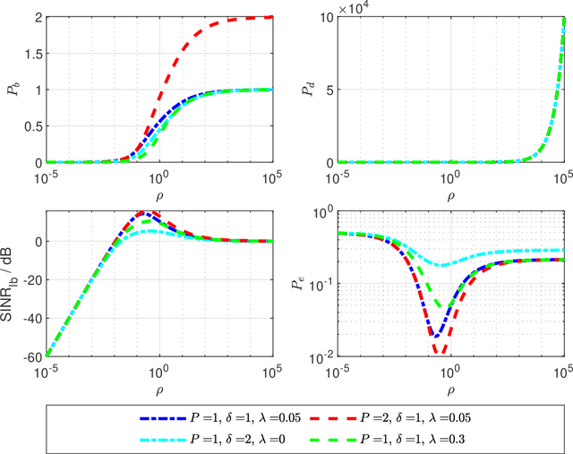
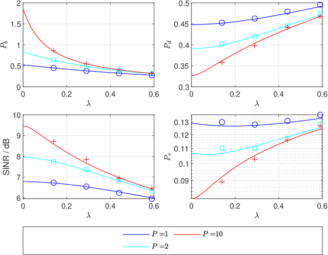
Abstract:This paper focuses on the performance analysis of a class of limited peak-to-average power ratio (PAPR) precoders for downlink multi-user massive multiple-input multiple-output (MIMO) systems. Contrary to conventional precoding approaches based on simple linear precoders maximum ratio transmission (MRT) and regularized zero forcing (RZF), the precoders in this paper are obtained by solving a convex optimization problem. To be specific, for the precoders we analyze in this paper, the power of each precoded symbol entry is restricted, which allows them to present a reduced PAPR at each antenna. By using the Convex Gaussian Min-max Theorem (CGMT), we analytically characterize the empirical distribution of the precoded vector and the joint empirical distribution between the distortion and the intended symbol vector. This allows us to study the performance of these precoders in terms of per-antenna power, per-user distortion power, signal to interference and noise ratio, and bit error probability. We show that for this class of precoders, there is an optimal transmit power that maximizes the system performance.