



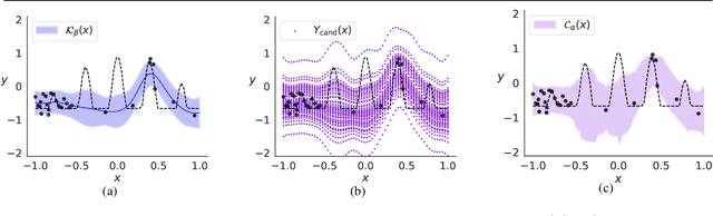
Abstract:Bayesian optimization is a coherent, ubiquitous approach to decision-making under uncertainty, with applications including multi-arm bandits, active learning, and black-box optimization. Bayesian optimization selects decisions (i.e. objective function queries) with maximal expected utility with respect to the posterior distribution of a Bayesian model, which quantifies reducible, epistemic uncertainty about query outcomes. In practice, subjectively implausible outcomes can occur regularly for two reasons: 1) model misspecification and 2) covariate shift. Conformal prediction is an uncertainty quantification method with coverage guarantees even for misspecified models and a simple mechanism to correct for covariate shift. We propose conformal Bayesian optimization, which directs queries towards regions of search space where the model predictions have guaranteed validity, and investigate its behavior on a suite of black-box optimization tasks and tabular ranking tasks. In many cases we find that query coverage can be significantly improved without harming sample-efficiency.




Abstract:Bayesian optimization is a gold standard for query-efficient continuous optimization. However, its adoption for drug and antibody sequence design has been hindered by the discrete, high-dimensional nature of the decision variables. We develop a new approach (LaMBO) which jointly trains a denoising autoencoder with a discriminative multi-task Gaussian process head, enabling gradient-based optimization of multi-objective acquisition functions in the latent space of the autoencoder. These acquisition functions allow LaMBO to balance the explore-exploit trade-off over multiple design rounds, and to balance objective tradeoffs by optimizing sequences at many different points on the Pareto frontier. We evaluate LaMBO on a small-molecule task based on the ZINC dataset and introduce a new large-molecule task targeting fluorescent proteins. In our experiments, LaMBO outperforms genetic optimizers and does not require a large pretraining corpus, demonstrating that Bayesian optimization is practical and effective for biological sequence design.




Abstract:Physical simulation-based optimization is a common task in science and engineering. Many such simulations produce image- or tensor-based outputs where the desired objective is a function of those outputs, and optimization is performed over a high-dimensional parameter space. We develop a Bayesian optimization method leveraging tensor-based Gaussian process surrogates and trust region Bayesian optimization to effectively model the image outputs and to efficiently optimize these types of simulations, including a radio-frequency tower configuration problem and an optical design problem.




Abstract:We propose SWA-Gaussian (SWAG), a simple, scalable, and general purpose approach for uncertainty representation and calibration in deep learning. Stochastic Weight Averaging (SWA), which computes the first moment of stochastic gradient descent (SGD) iterates with a modified learning rate schedule, has recently been shown to improve generalization in deep learning. With SWAG, we fit a Gaussian using the SWA solution as the first moment and a low rank plus diagonal covariance also derived from the SGD iterates, forming an approximate posterior distribution over neural network weights; we then sample from this Gaussian distribution to perform Bayesian model averaging. We empirically find that SWAG approximates the shape of the true posterior, in accordance with results describing the stationary distribution of SGD iterates. Moreover, we demonstrate that SWAG performs well on a wide variety of computer vision tasks, including out of sample detection, calibration, and transfer learning, in comparison to many popular alternatives including MC dropout, KFAC Laplace, and temperature scaling.