



Abstract:Sentence compression is a Natural Language Processing (NLP) task aimed at shortening original sentences and preserving their key information. Its applications can benefit many fields e.g. one can build tools for language education. However, current methods are largely based on Recurrent Neural Network (RNN) models which suffer from poor processing speed. To address this issue, in this paper, we propose a token-wise Convolutional Neural Network, a CNN-based model along with pre-trained Bidirectional Encoder Representations from Transformers (BERT) features for deletion-based sentence compression. We also compare our model with RNN-based models and fine-tuned BERT. Although one of the RNN-based models outperforms marginally other models given the same input, our CNN-based model was ten times faster than the RNN-based approach.


Abstract:In named entity recognition, we often don't have a large in-domain training corpus or a knowledge base with adequate coverage to train a model directly. In this paper, we propose a method where, given training data in a related domain with similar (but not identical) named entity (NE) types and a small amount of in-domain training data, we use transfer learning to learn a domain-specific NE model. That is, the novelty in the task setup is that we assume not just domain mismatch, but also label mismatch.




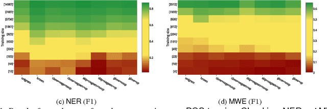
Abstract:Word embeddings -- distributed word representations that can be learned from unlabelled data -- have been shown to have high utility in many natural language processing applications. In this paper, we perform an extrinsic evaluation of five popular word embedding methods in the context of four sequence labelling tasks: POS-tagging, syntactic chunking, NER and MWE identification. A particular focus of the paper is analysing the effects of task-based updating of word representations. We show that when using word embeddings as features, as few as several hundred training instances are sufficient to achieve competitive results, and that word embeddings lead to improvements over OOV words and out of domain. Perhaps more surprisingly, our results indicate there is little difference between the different word embedding methods, and that simple Brown clusters are often competitive with word embeddings across all tasks we consider.