



Abstract:We address the Normalized Signal to Noise Ratio (NSNR) metric defined in the seminal paper by Reed, Mallett and Brennan on adaptive detection. The setting is detection of a target vector in additive correlated noise. NSNR is the ratio between the SNR of a linear detector which uses an estimated noise covariance and the SNR of clairvoyant detector based on the exact unknown covariance. It is not obvious how to evaluate NSNR since it is a function of the target vector. To close this gap, we consider the NSNR associated with the worst target. Using the Kantorovich Inequality, we provide a closed form solution for the worst case NSNR. Then, we prove that the classical Gaussian Kullback Leibler (KL) divergence bounds it. Numerical experiments with different true covariances and various estimates also suggest that the KL metric is more correlated with the NSNR metric than competing norm based metrics.




Abstract:We consider the use of deep learning for covariance estimation. We propose to globally learn a neural network that will then be applied locally at inference time. Leveraging recent advancements in self-supervised foundational models, we train the network without any labeling by simply masking different samples and learning to predict their covariance given their surrounding neighbors. The architecture is based on the popular attention mechanism. Its main advantage over classical methods is the automatic exploitation of global characteristics without any distributional assumptions or regularization. It can be pre-trained as a foundation model and then be repurposed for various downstream tasks, e.g., adaptive target detection in radar or hyperspectral imagery.

Abstract:In this paper we consider the problem of linear unmixing hidden random variables defined over the simplex with additive Gaussian noise, also known as probabilistic simplex component analysis (PRISM). Previous solutions to tackle this challenging problem were based on geometrical approaches or computationally intensive variational methods. In contrast, we propose a conventional expectation maximization (EM) algorithm which embeds importance sampling. For this purpose, the proposal distribution is chosen as a simple surrogate distribution of the target posterior that is guaranteed to lie in the simplex. This distribution is based on the Gaussian linear minimum mean squared error (LMMSE) approximation which is accurate at high signal-to-noise ratio. Numerical experiments in different settings demonstrate the advantages of this adaptive surrogate over state-of-the-art methods.




Abstract:We consider the problem of learning detectors with a Constant False Alarm Rate (CFAR). Classical model-based solutions to composite hypothesis testing are sensitive to imperfect models and are often computationally expensive. In contrast, data-driven machine learning is often more robust and yields classifiers with fixed computational complexity. Learned detectors usually do not have a CFAR as required in many applications. To close this gap, we introduce CFARnet where the loss function is penalized to promote similar distributions of the detector under any null hypothesis scenario. Asymptotic analysis in the case of linear models with general Gaussian noise reveals that the classical generalized likelihood ratio test (GLRT) is actually a minimizer of the CFAR constrained Bayes risk. Experiments in both synthetic data and real hyper-spectral images show that CFARnet leads to near CFAR detectors with similar accuracy as their competitors.

Abstract:We consider the use of machine learning for hypothesis testing with an emphasis on target detection. Classical model-based solutions rely on comparing likelihoods. These are sensitive to imperfect models and are often computationally expensive. In contrast, data-driven machine learning is often more robust and yields classifiers with fixed computational complexity. Learned detectors usually provide high accuracy with low complexity but do not have a constant false alarm rate (CFAR) as required in many applications. To close this gap, we propose to add a term to the loss function that promotes similar distributions of the detector under any null hypothesis scenario. Experiments show that our approach leads to near CFAR detectors with similar accuracy as their competitors.




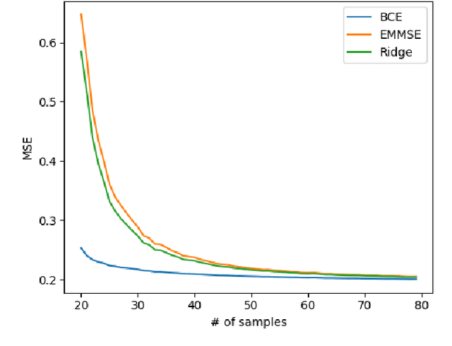
Abstract:We consider the use of deep learning for parameter estimation. We propose Bias Constrained Estimators (BCE) that add a squared bias term to the standard mean squared error (MSE) loss. The main motivation to BCE is learning to estimate deterministic unknown parameters with no Bayesian prior. Unlike standard learning based estimators that are optimal on average, we prove that BCEs converge to Minimum Variance Unbiased Estimators (MVUEs). We derive closed form solutions to linear BCEs. These provide a flexible bridge between linear regrssion and the least squares method. In non-linear settings, we demonstrate that BCEs perform similarly to MVUEs even when the latter are computationally intractable. A second motivation to BCE is in applications where multiple estimates of the same unknown are averaged for improved performance. Examples include distributed sensor networks and data augmentation in test-time. In such applications, unbiasedness is a necessary condition for asymptotic consistency.




Abstract:Detection and classification of objects in overhead images are two important and challenging problems in computer vision. Among various research areas in this domain, the task of fine-grained classification of objects in overhead images has become ubiquitous in diverse real-world applications, due to recent advances in high-resolution satellite and airborne imaging systems. The small inter-class variations and the large intra class variations caused by the fine grained nature make it a challenging task, especially in low-resource cases. In this paper, we introduce COFGA a new open dataset for the advancement of fine-grained classification research. The 2,104 images in the dataset are collected from an airborne imaging system at 5 15 cm ground sampling distance, providing higher spatial resolution than most public overhead imagery datasets. The 14,256 annotated objects in the dataset were classified into 2 classes, 15 subclasses, 14 unique features, and 8 perceived colors a total of 37 distinct labels making it suitable to the task of fine-grained classification more than any other publicly available overhead imagery dataset. We compare COFGA to other overhead imagery datasets and then describe some distinguished fine-grain classification approaches that were explored during an open data-science competition we have conducted for this task.




Abstract:We consider distance functions between conditional distributions functions. We focus on the Wasserstein metric and its Gaussian case known as the Frechet Inception Distance (FID).We develop conditional versions of these metrics, and analyze their relations. Then, we numerically compare the metrics inthe context of performance evaluation of conditional generative models. Our results show that the metrics are similar in classical models which are less susceptible to conditional collapse. But the conditional distances are more informative in modern unsuper-vised, semisupervised and unpaired models where learning the relations between the inputs and outputs is the main challenge.




Abstract:Classification between thousands of classes in high-resolution images is one of the heavily studied problems in deep learning over the last decade. However, the challenge of fine-grained multi-class classification of objects in aerial images, especially in low resource cases, is still challenging and an active area of research in the literature. Solving this problem can give rise to various applications in the field of scene understanding and classification and re-identification of specific objects from aerial images. In this paper, we provide a description of our dataset - COFGA of multi-class annotated objects in aerial images. We examine the results of existing state-of-the-art models and modified deep neural networks. Finally, we explain in detail the first published competition for solving this task.




Abstract:In this paper we consider Multiple-Input-Multiple-Output (MIMO) detection using deep neural networks. We introduce two different deep architectures: a standard fully connected multi-layer network, and a Detection Network (DetNet) which is specifically designed for the task. The structure of DetNet is obtained by unfolding the iterations of a projected gradient descent algorithm into a network. We compare the accuracy and runtime complexity of the purposed approaches and achieve state-of-the-art performance while maintaining low computational requirements. Furthermore, we manage to train a single network to detect over an entire distribution of channels. Finally, we consider detection with soft outputs and show that the networks can easily be modified to produce soft decisions.