Abstract:We propose an objective intelligibility measure (OIM), called the Gammachirp Envelope Similarity Index (GESI), that can predict speech intelligibility (SI) in older adults. GESI is a bottom-up model based on psychoacoustic knowledge from the peripheral to the central auditory system and requires no training data. It computes the single SI metric using the gammachirp filterbank (GCFB), the modulation filterbank, and the extended cosine similarity measure. It takes into account not only the hearing level represented in the audiogram, but also the temporal processing characteristics captured by the temporal modulation transfer function (TMTF). To evaluate performance, SI experiments were conducted with older adults of various hearing levels using speech-in-noise with ideal speech enhancement on familiarity-controlled words. The prediction performance was compared with HASPIw2, which was developed for keyword SI prediction. The results showed that GESI predicted the subjective SI scores more accurately than HASPIw2. The effect of introducing TMTF into the GESI algorithm was not significant, indicating that more research is needed to know how to introduce temporal response characteristics into the OIM.
Abstract:Hearing loss (HL) simulators, which allow normal hearing (NH) listeners to experience HL, have been used in speech intelligibility experiments, but not in sound quality experiments due to perceptible distortion. If they produced less distortion, they might be useful for NH listeners to evaluate the sound quality of, for example, hearing aids. We conducted perceptual sound quality experiments to compare the Cambridge version of HL simulator (CamHLS) and the Wakayama version of the HL simulator (WHIS), which has the two algorithms of filterbank analysis synthesis (FBAS) and direct time-varying filter (DTVF). The experimental results showed that WHIS with DTVF produces less perceptible distortion in speech sounds than CamHLS and WHIS with FBAS, even when the nonlinear process is working. This advantage is mainly due to the use of the DTVF algorithm, which could be applied to various signal synthesis applications with filterbank analysis.
Abstract:We proposed a new objective intelligibility measure (OIM), called the Gammachirp Envelope Similarity Index (GESI), which can predict the speech intelligibility (SI) of simulated hearing loss (HL) sounds for normal hearing (NH) listeners. GESI is an intrusive method that computes the SI metric using the gammachirp filterbank (GCFB), the modulation filterbank, and the extended cosine similarity measure. GESI can accept the level asymmetry of the reference and test sounds and reflect the HI listener's hearing level as it appears on the audiogram. A unique feature of GESI is its ability to incorporate an individual participant's listening condition into the SI prediction. We conducted four SI experiments on male and female speech sounds in both laboratory and crowdsourced remote environments. We then evaluated GESI and the conventional OIMs, STOI, ESTOI, MBSTOI, and HASPI, for their ability to predict mean and individual SI values with and without the use of simulated HL sounds. GESI outperformed the other OIMs in all evaluations. STOI, ESTOI, and MBSTOI did not predict SI at all, even when using the simulated HL sounds. HASPI did not predict the difference between the laboratory and remote experiments on male speech sounds and the individual SI values. GESI may provide a first step toward SI prediction for individual HI listeners whose HL is caused solely by peripheral dysfunction.




Abstract:We can estimate the size of the speaker solely based on their speech sounds. We had proposed an auditory computational theory of the stabilised wavelet-Mellin transform (SWMT), which segregates information about the size and shape of vocal tract and glottal vibration, to explain this observation. It was demonstrated that the auditory representation or excitation pattern (EP) associated with a weighting function based on SWMT, referred to as "SSI weigh", made it possible to explain the psychometric functions of size perception. In this study, we investigated whether EP with SSI weight can precisely estimate vocal tract lengths (VTLs) which were measured using male and female MRI data. It was found that the use of SSI weight significantly improved the VTL estimation. Moreover, the estimation errors were significantly smaller in the EP with the SSI weight than those in the commonly used spectra derived from the Fourier transform, Mel filterbank, and WORLD vocoder. It was also shown that the SSI weight can be easily introduced into these spectra to improve the performance.




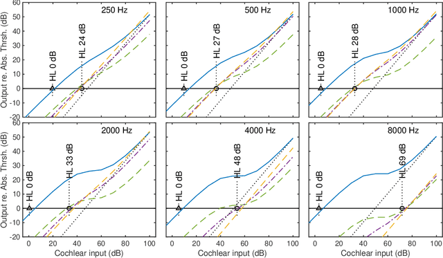
Abstract:A new version of a hearing impairment simulator (WHIS) was implemented based on a revised version of the gammachirp filterbank (GCFB), which incorporates fast frame-based processing, absolute threshold (AT), an audiogram of a hearing-impaired (HI) listener, and a parameter to control the cochlear input-output (IO) function. The parameter referred to as the compression health $\alpha$ controlled the slope of the IO function to range from normal hearing (NH) listeners to HI listeners, without largely changing the total hearing loss (HL). The new WHIS was designed provide an NH listener the same EPs as those of a target HI listener.The analysis part of WHIS was almost the same as that of the revised GCFB, except that the IO function was used instead of the gain function. We proposed two synthesis methods: a direct time-varying filter for perceptually small distortion and a filterbank analysis-synthesis for further HI simulations including temporal smearing. We evaluated the WHIS family and a Cambridge version of the HL simulator (CamHLS) in terms of differences in the IO function and spectral distance. The IO functions were simulated fairly well at $\alpha$ less than 0.5 but not at $\alpha$ equal to 1. Thus, it is difficult to simulate the HL when the IO function is sufficiently healthy. This is a fundamental limit of any existing HL simulator as well as WHIS. The new WHIS yielded a smaller spectral distortion than CamHLS and was fairly compatible with the previous version.




Abstract:In the present study, speech intelligibility (SI) experiments were performed using simulated hearing loss (HL) sounds in laboratory and remote environments to clarify the effects of peripheral dysfunction. Noisy speech sounds were processed to simulate the average HL of 70- and 80-year-olds using Wadai Hearing Impairment Simulator (WHIS). These sounds were presented to normal hearing (NH) listeners whose cognitive function could be assumed to be normal. The results showed that the divergence was larger in the remote experiments than in the laboratory ones. However, the remote results could be equalized to the laboratory ones, mostly through data screening using the results of tone pip tests prepared on the experimental web page. In addition, a newly proposed objective intelligibility measure (OIM) called the Gammachirp Envelope Similarity Index (GESI) explained the psychometric functions in the laboratory and remote experiments fairly well. GESI has the potential to explain the SI of HI listeners by properly setting HL parameters.




Abstract:It is essential to perform speech intelligibility (SI) experiments with human listeners to evaluate the effectiveness of objective intelligibility measures. Recently crowdsourced remote testing has become popular to collect a massive amount and variety of data with relatively small cost and in short time. However, careful data screening is essential for attaining reliable SI data. We compared the results of laboratory and crowdsourced remote experiments to establish an effective data screening technique. We evaluated the SI of noisy speech sounds enhanced by a single-channel ideal ratio mask (IRM) and multi-channel mask-based beamformers. The results demonstrated that the SI scores were improved by these enhancement methods. In particular, the IRM-enhanced sounds were much better than the unprocessed and other enhanced sounds, indicating IRM enhancement may give the upper limit of speech enhancement performance. Moreover, tone pip tests, for which participants were asked to report the number of audible tone pips, reduced the variability of crowdsourced remote results so that the laboratory results became similar. Tone pip tests could be useful for future crowdsourced experiments because of their simplicity and effectiveness for data screening.




Abstract:Many subjective experiments have been performed to develop objective speech intelligibility measures, but the novel coronavirus outbreak has made it very difficult to conduct experiments in a laboratory. One solution is to perform remote testing using crowdsourcing; however, because we cannot control the listening conditions, it is unclear whether the results are entirely reliable. In this study, we compared speech intelligibility scores obtained in remote and laboratory experiments. The results showed that the mean and standard deviation (SD) of the remote experiments' speech reception threshold (SRT) were higher than those of the laboratory experiments. However, the variance in the SRTs across the speech-enhancement conditions revealed similarities, implying that remote testing results may be as useful as laboratory experiments to develop an objective measure. We also show that the practice session scores correlate with the SRT values. This is a priori information before performing the main tests and would be useful for data screening to reduce the variability of the SRT distribution.




Abstract:Auditory feedback plays an essential role in the regulation of the fundamental frequency of voiced sounds. The fundamental frequency also responds to auditory stimulation other than the speaker's voice. We propose to use this response of the fundamental frequency of sustained vowels to frequency-modulated test signals for investigating involuntary control of voice pitch. This involuntary response is difficult to identify and isolate by the conventional paradigm, which uses step-shaped pitch perturbation. We recently developed a versatile measurement method using a mixture of orthogonal sequences made from a set of extended time-stretched pulses (TSP). In this article, we extended our approach and designed a set of test signals using the mixture to modulate the fundamental frequency of artificial signals. For testing the response, the experimenter presents the modulated signal aurally while the subject is voicing sustained vowels. We developed a tool for conducting this test quickly and interactively. We make the tool available as an open-source and also provide executable GUI-based applications. Preliminary tests revealed that the proposed method consistently provides compensatory responses with about 100 ms latency, representing involuntary control. Finally, we discuss future applications of the proposed method for objective and non-invasive auditory response measurements.