



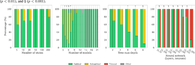
Abstract:We introduce the problem of formally verifying properties of Markov processes where the parameters are the output of machine learning models. Our formulation is general and solves a wide range of problems, including verifying properties of probabilistic programs that use machine learning, and subgroup analysis in healthcare modeling. We show that for a broad class of machine learning models, including linear models, tree-based models, and neural networks, verifying properties of Markov chains like reachability, hitting time, and total reward can be formulated as a bilinear program. We develop a decomposition and bound propagation scheme for solving the bilinear program and show through computational experiments that our method solves the problem to global optimality up to 100x faster than state-of-the-art solvers. We also release $\texttt{markovml}$, an open-source tool for building Markov processes, integrating pretrained machine learning models, and verifying their properties, available at https://github.com/mmaaz-git/markovml.
Abstract:Cycling stress assessment, which quantifies cyclists' perceived stress imposed by the built environment and motor traffics, increasingly informs cycling infrastructure planning and cycling route recommendation. However, currently calculating cycling stress is slow and data-intensive, which hinders its broader application. In this paper, We propose a deep learning framework to support accurate, fast, and large-scale cycling stress assessments for urban road networks based on street-view images. Our framework features i) a contrastive learning approach that leverages the ordinal relationship among cycling stress labels, and ii) a post-processing technique that enforces spatial smoothness into our predictions. On a dataset of 39,153 road segments collected in Toronto, Canada, our results demonstrate the effectiveness of our deep learning framework and the value of using image data for cycling stress assessment in the absence of high-quality road geometry and motor traffic data.




Abstract:We present a novel machine learning-based approach to solving bilevel programs that involve a large number of independent followers, which as a special case include two-stage stochastic programming. We propose an optimization model that explicitly considers a sampled subset of followers and exploits a machine learning model to estimate the objective values of unsampled followers. Unlike existing approaches, we embed machine learning model training into the optimization problem, which allows us to employ general follower features that can not be represented using leader decisions. We prove bounds on the optimality gap of the generated leader decision as measured by the original objective function that considers the full follower set. We then develop follower sampling algorithms to tighten the bounds and a representation learning approach to learn follower features, which can be used as inputs to the embedded machine learning model. Using synthetic instances of a cycling network design problem, we compare the computational performance of our approach versus baseline methods. Our approach provides more accurate predictions for follower objective values, and more importantly, generates leader decisions of higher quality. Finally, we perform a real-world case study on cycling infrastructure planning, where we apply our approach to solve a network design problem with over one million followers. Our approach presents favorable performance compared to the current cycling network expansion practices.




Abstract:We establish an open framework for developing plan optimization models for knowledge-based planning (KBP) in radiotherapy. Our framework includes reference plans for 100 patients with head-and-neck cancer and high-quality dose predictions from 19 KBP models that were developed by different research groups during the OpenKBP Grand Challenge. The dose predictions were input to four optimization models to form 76 unique KBP pipelines that generated 7600 plans. The predictions and plans were compared to the reference plans via: dose score, which is the average mean absolute voxel-by-voxel difference in dose a model achieved; the deviation in dose-volume histogram (DVH) criterion; and the frequency of clinical planning criteria satisfaction. We also performed a theoretical investigation to justify our dose mimicking models. The range in rank order correlation of the dose score between predictions and their KBP pipelines was 0.50 to 0.62, which indicates that the quality of the predictions is generally positively correlated with the quality of the plans. Additionally, compared to the input predictions, the KBP-generated plans performed significantly better (P<0.05; one-sided Wilcoxon test) on 18 of 23 DVH criteria. Similarly, each optimization model generated plans that satisfied a higher percentage of criteria than the reference plans. Lastly, our theoretical investigation demonstrated that the dose mimicking models generated plans that are also optimal for a conventional planning model. This was the largest international effort to date for evaluating the combination of KBP prediction and optimization models. In the interest of reproducibility, our data and code is freely available at https://github.com/ababier/open-kbp-opt.




Abstract:We determine how prediction methods combine with optimization methods in two-stage knowledge-based planning (KBP) pipelines to produce radiation therapy treatment plans. We trained two dose prediction methods, a generative adversarial network (GAN) and a random forest (RF) with the same 130 treatment plans. The models were applied to 87 out-of-sample patients to create two sets of predicted dose distributions that were used as input to two optimization models. The first optimization model, inverse planning (IP), estimates weights for dose-objectives from a predicted dose distribution and generates new plans using conventional inverse planning. The second optimization model, dose mimicking (DM), minimizes the sum of one-sided quadratic penalties between the predictions and the generated plans using several dose-objectives. Altogether, four KBP pipelines (GAN-IP, GAN-DM, RF-IP, and RF-DM) were constructed and benchmarked against the corresponding clinical plans using clinical criteria; the error of both prediction methods was also evaluated. The best performing plans were GAN-IP plans, which satisfied the same criteria as their corresponding clinical plans (78%) more often than any other KBP pipeline. However, GAN did not necessarily provide the best prediction for the second-stage optimization models. Specifically, both the RF-IP and RF-DM plans satisfied all clinical criteria 25% and 15% more often than GAN-DM plans (the worst performing planning), respectively. GAN predictions also had a higher mean absolute error (3.9 Gy) than those from RF (3.6 Gy). We find that state-of-the-art prediction methods when paired with different optimization algorithms, produce treatment plans with considerable variation in quality.




Abstract:Knowledge-based planning (KBP) is an automated approach to radiation therapy treatment planning that involves predicting desirable treatment plans before they are then corrected to deliverable ones. We propose a generative adversarial network (GAN) approach for predicting desirable 3D dose distributions that eschews the previous paradigms of site-specific feature engineering and predicting low-dimensional representations of the plan. Experiments on a dataset of oropharyngeal cancer patients show that our approach significantly outperforms previous methods on several clinical satisfaction criteria and similarity metrics.




Abstract:We present a new methodology, called IPMAN, that combines interior point methods and generative adversarial networks to solve constrained optimization problems with feasible sets that are non-convex or not explicitly defined. Our methodology produces {\epsilon}-optimal solutions and demonstrates that, when there are multiple global optima, it learns a distribution over the optimal set. We apply our approach to synthetic examples to demonstrate its effectiveness and to a problem in radiation therapy treatment optimization with a non-convex feasible set.