Abstract:High-speed event-driven tactile sensors are essential for achieving human-like dynamic manipulation, yet their integration is often limited by the bulkiness of standard event cameras. This paper presents SpikingTac, a miniaturized, highly integrated neuromorphic tactile sensor featuring a custom standalone event camera module, achieved with a total material cost of less than \$150. We construct a global dynamic state map coupled with an unsupervised denoising network to enable precise tracking at a 1000~Hz perception rate and 350~Hz tracking frequency. Addressing the viscoelastic hysteresis of silicone elastomers, we propose a hysteresis-aware incremental update law with a spatial gain damping mechanism. Experimental results demonstrate exceptional zero-point stability, achieving a 100\% return-to-origin success rate with a minimal mean bias of 0.8039 pixels, even under extreme torsional deformations. In dynamic tasks, SpikingTac limits the obstacle-avoidance overshoot to 6.2~mm, representing a 5-fold performance improvement over conventional frame-based sensors. Furthermore, the sensor achieves sub-millimeter geometric accuracy, with Root Mean Square Error (RMSE) of 0.0952~mm in localization and 0.0452~mm in radius measurement.
Abstract:Images often communicate more than they literally depict: a set of tools can suggest an occupation and a cultural artifact can suggest a tradition. This kind of indirect visual reference, known as visual metonymy, invites viewers to recover a target concept via associated cues rather than explicit depiction. In this work, we present the first computational investigation of visual metonymy. We introduce a novel pipeline grounded in semiotic theory that leverages large language models and text-to-image models to generate metonymic visual representations. Using this framework, we construct ViMET, the first visual metonymy dataset comprising 2,000 multiple-choice questions to evaluate the cognitive reasoning abilities in multimodal language models. Experimental results on our dataset reveal a significant gap between human performance (86.9%) and state-of-the-art vision-language models (65.9%), highlighting limitations in machines' ability to interpret indirect visual references. Our dataset is publicly available at: https://github.com/cincynlp/ViMET.
Abstract:We address the problem of fast time-varying channel estimation in millimeter-wave (mmWave) MIMO systems with imperfect channel state information (CSI) and facilitate efficient channel reconstruction. Specifically, leveraging the low-rank and sparse characteristics of the mmWave channel matrix, a two-phase rank-aware compressed sensing framework is proposed for efficient channel estimation and reconstruction. In the first phase, a robust rank-one matrix completion (R1MC) algorithm is used to reconstruct part of the observed channel matrix through low-rank matrix completion (LRMC). To address abrupt rank changes caused by user mobility, a discrete-time autoregressive (AR) model is established that leverages temporal rank correlations across consecutive time instances to enable adaptive observation matrix completion, thereby improving estimation accuracy under dynamic conditions. In the second phase, a rank-aware block orthogonal matching pursuit (RA-BOMP) algorithm is developed for sparse channel recovery with low computational complexity. Furthermore, a rank-aware measurement matrix design is introduced to improve angle estimation accuracy. Simulation results demonstrate that, compared with existing benchmark algorithms, the proposed approach achieves superior channel estimation performance while significantly reducing computational complexity and training overhead.
Abstract:Verbal multiword expressions (VMWEs) present significant challenges for natural language processing due to their complex and often non-compositional nature. While machine translation models have seen significant improvement with the advent of language models in recent years, accurately translating these complex linguistic structures remains an open problem. In this study, we analyze the impact of three VMWE categories -- verbal idioms, verb-particle constructions, and light verb constructions -- on machine translation quality from English to multiple languages. Using both established multiword expression datasets and sentences containing these language phenomena extracted from machine translation datasets, we evaluate how state-of-the-art translation systems handle these expressions. Our experimental results consistently show that VMWEs negatively affect translation quality. We also propose an LLM-based paraphrasing approach that replaces these expressions with their literal counterparts, demonstrating significant improvement in translation quality for verbal idioms and verb-particle constructions.
Abstract:Evaluating visual activity recognition systems is challenging due to inherent ambiguities in verb semantics and image interpretation. When describing actions in images, synonymous verbs can refer to the same event (e.g., brushing vs. grooming), while different perspectives can lead to equally valid but distinct verb choices (e.g., piloting vs. operating). Standard exact-match evaluation, which relies on a single gold answer, fails to capture these ambiguities, resulting in an incomplete assessment of model performance. To address this, we propose a vision-language clustering framework that constructs verb sense clusters, providing a more robust evaluation. Our analysis of the imSitu dataset shows that each image maps to an average of 2.8 sense clusters, with each cluster representing a distinct perspective of the image. We evaluate multiple activity recognition models and compare our cluster-based evaluation with standard evaluation methods. Additionally, our human alignment analysis suggests that the cluster-based evaluation better aligns with human judgements, offering a more nuanced assessment of model performance.




Abstract:Metonymy plays an important role in our daily communication. People naturally think about things using their most salient properties or commonly related concepts. For example, by saying "The bus decided to skip our stop today," we actually mean that the bus driver made the decision, not the bus. Prior work on metonymy resolution has mainly focused on named entities. However, metonymy involving common nouns (such as desk, baby, and school) is also a frequent and challenging phenomenon. We argue that NLP systems should be capable of identifying the metonymic use of common nouns in context. We create a new metonymy dataset ConMeC, which consists of 6,000 sentences, where each sentence is paired with a target common noun and annotated by humans to indicate whether that common noun is used metonymically or not in that context. We also introduce a chain-of-thought based prompting method for detecting metonymy using large language models (LLMs). We evaluate our LLM-based pipeline, as well as a supervised BERT model on our dataset and three other metonymy datasets. Our experimental results demonstrate that LLMs could achieve performance comparable to the supervised BERT model on well-defined metonymy categories, while still struggling with instances requiring nuanced semantic understanding. Our dataset is publicly available at: https://github.com/SaptGhosh/ConMeC.




Abstract:With the growing demand for vision applications and deployment across edge devices, the development of hardware-friendly architectures that maintain performance during device deployment becomes crucial. Neural architecture search (NAS) techniques explore various approaches to discover efficient architectures for diverse learning tasks in a computationally efficient manner. In this paper, we present the next-generation neural architecture design for computationally efficient neural architecture distillation - DONNAv2 . Conventional NAS algorithms rely on a computationally extensive stage where an accuracy predictor is learned to estimate model performance within search space. This building of accuracy predictors helps them predict the performance of models that are not being finetuned. Here, we have developed an elegant approach to eliminate building the accuracy predictor and extend DONNA to a computationally efficient setting. The loss metric of individual blocks forming the network serves as the surrogate performance measure for the sampled models in the NAS search stage. To validate the performance of DONNAv2 we have performed extensive experiments involving a range of diverse vision tasks including classification, object detection, image denoising, super-resolution, and panoptic perception network (YOLOP). The hardware-in-the-loop experiments were carried out using the Samsung Galaxy S10 mobile platform. Notably, DONNAv2 reduces the computational cost of DONNA by 10x for the larger datasets. Furthermore, to improve the quality of NAS search space, DONNAv2 leverages a block knowledge distillation filter to remove blocks with high inference costs.
Abstract:Our research explores the use of natural language processing (NLP) methods to automatically classify entities for the purpose of knowledge graph population and integration with food system ontologies. We have created NLP models that can automatically classify organizations with respect to categories associated with environmental issues as well as Standard Industrial Classification (SIC) codes, which are used by the U.S. government to characterize business activities. As input, the NLP models are provided with text snippets retrieved by the Google search engine for each organization, which serves as a textual description of the organization that is used for learning. Our experimental results show that NLP models can achieve reasonably good performance for these two classification tasks, and they rely on a general framework that could be applied to many other classification problems as well. We believe that NLP models represent a promising approach for automatically harvesting information to populate knowledge graphs and aligning the information with existing ontologies through shared categories and concepts.




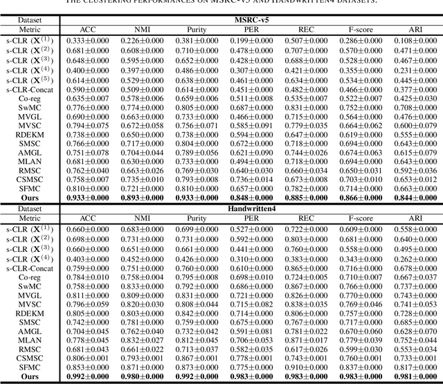
Abstract:Graph-based multi-view clustering has become an active topic due to the efficiency in characterizing both the complex structure and relationship between multimedia data. However, existing methods have the following shortcomings: (1) They are inefficient or even fail for graph learning in large scale due to the graph construction and eigen-decomposition. (2) They cannot well exploit both the complementary information and spatial structure embedded in graphs of different views. To well exploit complementary information and tackle the scalability issue plaguing graph-based multi-view clustering, we propose an efficient multiple graph learning model via a small number of anchor points and tensor Schatten p-norm minimization. Specifically, we construct a hidden and tractable large graph by anchor graph for each view and well exploit complementary information embedded in anchor graphs of different views by tensor Schatten p-norm regularizer. Finally, we develop an efficient algorithm, which scales linearly with the data size, to solve our proposed model. Extensive experimental results on several datasets indicate that our proposed method outperforms some state-of-the-art multi-view clustering algorithms.