



Abstract:Existing communication systems exhibit inherent limitations in translating theory to practice when handling the complexity of optimization for emerging wireless applications with high degrees of freedom. Deep learning has a strong potential to overcome this challenge via data-driven solutions and improve the performance of wireless systems in utilizing limited spectrum resources. In this chapter, we first describe how deep learning is used to design an end-to-end communication system using autoencoders. This flexible design effectively captures channel impairments and optimizes transmitter and receiver operations jointly in single-antenna, multiple-antenna, and multiuser communications. Next, we present the benefits of deep learning in spectrum situation awareness ranging from channel modeling and estimation to signal detection and classification tasks. Deep learning improves the performance when the model-based methods fail. Finally, we discuss how deep learning applies to wireless communication security. In this context, adversarial machine learning provides novel means to launch and defend against wireless attacks. These applications demonstrate the power of deep learning in providing novel means to design, optimize, adapt, and secure wireless communications.




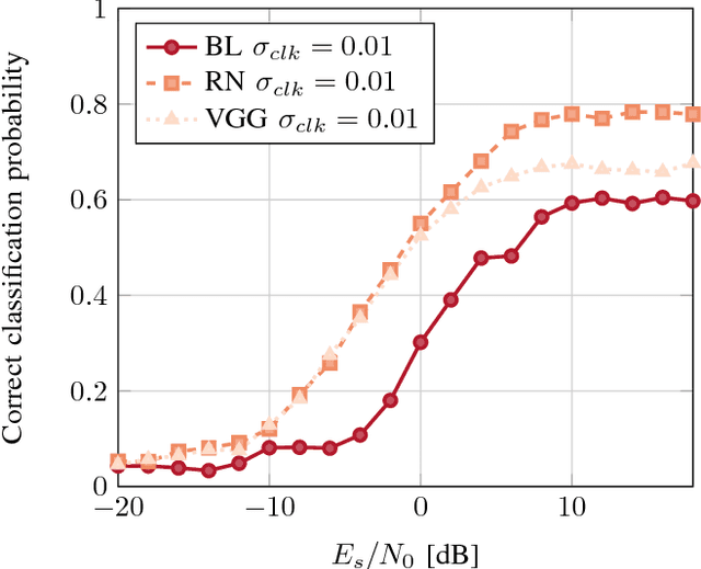
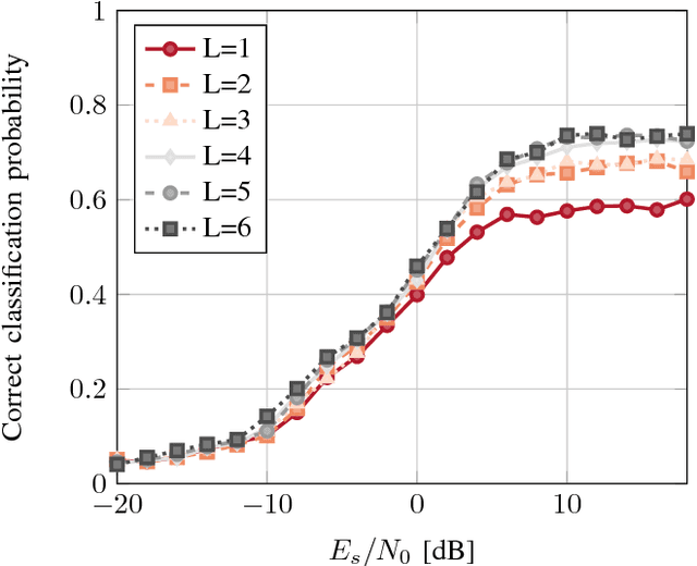
Abstract:We conduct an in depth study on the performance of deep learning based radio signal classification for radio communications signals. We consider a rigorous baseline method using higher order moments and strong boosted gradient tree classification and compare performance between the two approaches across a range of configurations and channel impairments. We consider the effects of carrier frequency offset, symbol rate, and multi-path fading in simulation and conduct over-the-air measurement of radio classification performance in the lab using software radios and compare performance and training strategies for both. Finally we conclude with a discussion of remaining problems, and design considerations for using such techniques.




Abstract:Estimation is a critical component of synchronization in wireless and signal processing systems. There is a rich body of work on estimator derivation, optimization, and statistical characterization from analytic system models which are used pervasively today. We explore an alternative approach to building estimators which relies principally on approximate regression using large datasets and large computationally efficient artificial neural network models capable of learning non-linear function mappings which provide compact and accurate estimates. For single carrier PSK modulation, we explore the accuracy and computational complexity of such estimators compared with the current gold-standard analytically derived alternatives. We compare performance in various wireless operating conditions and consider the trade offs between the two different classes of systems. Our results show the learned estimators can provide improvements in areas such as short-time estimation and estimation under non-trivial real world channel conditions such as fading or other non-linear hardware or propagation effects.




Abstract:Radio emitter recognition in dense multi-user environments is an important tool for optimizing spectrum utilization, identifying and minimizing interference, and enforcing spectrum policy. Radio data is readily available and easy to obtain from an antenna, but labeled and curated data is often scarce making supervised learning strategies difficult and time consuming in practice. We demonstrate that semi-supervised learning techniques can be used to scale learning beyond supervised datasets, allowing for discerning and recalling new radio signals by using sparse signal representations based on both unsupervised and supervised methods for nonlinear feature learning and clustering methods.




Abstract:We introduce a powerful recurrent neural network based method for novelty detection to the application of detecting radio anomalies. This approach holds promise in significantly increasing the ability of naive anomaly detection to detect small anomalies in highly complex complexity multi-user radio bands. We demonstrate the efficacy of this approach on a number of common real over the air radio communications bands of interest and quantify detection performance in terms of probability of detection an false alarm rates across a range of interference to band power ratios and compare to baseline methods.




Abstract:We address the problem of learning efficient and adaptive ways to communicate binary information over an impaired channel. We treat the problem as reconstruction optimization through impairment layers in a channel autoencoder and introduce several new domain-specific regularizing layers to emulate common channel impairments. We also apply a radio transformer network based attention model on the input of the decoder to help recover canonical signal representations. We demonstrate some promising initial capacity results from this architecture and address several remaining challenges before such a system could become practical.




Abstract:We study the adaptation of convolutional neural networks to the complex temporal radio signal domain. We compare the efficacy of radio modulation classification using naively learned features against using expert features which are widely used in the field today and we show significant performance improvements. We show that blind temporal learning on large and densely encoded time series using deep convolutional neural networks is viable and a strong candidate approach for this task especially at low signal to noise ratio.




Abstract:This paper presents research in progress investigating the viability and adaptation of reinforcement learning using deep neural network based function approximation for the task of radio control and signal detection in the wireless domain. We demonstrate a successful initial method for radio control which allows naive learning of search without the need for expert features, heuristics, or search strategies. We also introduce Kerlym, an open Keras based reinforcement learning agent collection for OpenAI's Gym.




Abstract:We introduce learned attention models into the radio machine learning domain for the task of modulation recognition by leveraging spatial transformer networks and introducing new radio domain appropriate transformations. This attention model allows the network to learn a localization network capable of synchronizing and normalizing a radio signal blindly with zero knowledge of the signals structure based on optimization of the network for classification accuracy, sparse representation, and regularization. Using this architecture we are able to outperform our prior results in accuracy vs signal to noise ratio against an identical system without attention, however we believe such an attention model has implication far beyond the task of modulation recognition.




Abstract:We explore unsupervised representation learning of radio communication signals in raw sampled time series representation. We demonstrate that we can learn modulation basis functions using convolutional autoencoders and visually recognize their relationship to the analytic bases used in digital communications. We also propose and evaluate quantitative met- rics for quality of encoding using domain relevant performance metrics.