



Abstract:In this paper, we propose a scale-aware method for inserting virtual objects with proper sizes into monocular videos. To tackle the scale ambiguity problem of geometry recovery from monocular videos, we estimate the global scale objects in a video with a Bayesian approach incorporating the size priors of objects, where the scene objects sizes should strictly conform to the same global scale and the possibilities of global scales are maximized according to the size distribution of object categories. To do so, we propose a dataset of sizes of object categories: Metric-Tree, a hierarchical representation of sizes of more than 900 object categories with the corresponding images. To handle the incompleteness of objects recovered from videos, we propose a novel scale estimation method that extracts plausible dimensions of objects for scale optimization. Experiments have shown that our method for scale estimation performs better than the state-of-the-art methods, and has considerable validity and robustness for different video scenes. Metric-Tree has been made available at: https://metric-tree.github.io




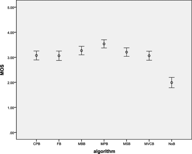
Abstract:Unlike image blending algorithms, video blending algorithms have been little studied. In this paper, we investigate 6 popular blending algorithms---feather blending, multi-band blending, modified Poisson blending, mean value coordinate blending, multi-spline blending and convolution pyramid blending. We consider in particular realtime panoramic video blending, a key problem in various virtual reality tasks. To evaluate the performance of the 6 algorithms on this problem, we have created a video benchmark of several videos captured under various conditions. We analyze the time and memory needed by the above 6 algorithms, for both CPU and GPU implementations (where readily parallelizable). The visual quality provided by these algorithms is also evaluated both objectively and subjectively. The video benchmark and algorithm implementations are publicly available.