Abstract:Answer set programming is a well-understood and established problem-solving and knowledge representation paradigm. It has become more prominent amongst a wider audience due to its multiple applications in science and industry. The constant development of advanced programming and modeling techniques extends the toolset for developers and users regularly. This paper demonstrates different techniques to reuse logic program parts (multi-shot) by solving the arcade game snake. This game is particularly interesting because a victory can be assured by solving the underlying NP-hard problem of Hamiltonian Cycles. We will demonstrate five hands-on implementations in clingo and compare their performance in an empirical evaluation. In addition, our implementation utilizes clingraph to generate a simple yet informative image representation of the game's progress.
Abstract:Answer set programming (ASP) is a popular declarative programming paradigm with various applications. Programs can easily have many answer sets that cannot be enumerated in practice, but counting still allows quantifying solution spaces. If one counts under assumptions on literals, one obtains a tool to comprehend parts of the solution space, so-called answer set navigation. However, navigating through parts of the solution space requires counting many times, which is expensive in theory. Knowledge compilation compiles instances into representations on which counting works in polynomial time. However, these techniques exist only for CNF formulas, and compiling ASP programs into CNF formulas can introduce an exponential overhead. This paper introduces a technique to iteratively count answer sets under assumptions on knowledge compilations of CNFs that encode supported models. Our anytime technique uses the inclusion-exclusion principle to improve bounds by over- and undercounting systematically. In a preliminary empirical analysis, we demonstrate promising results. After compiling the input (offline phase), our approach quickly (re)counts.



Abstract:Answer set programming (ASP) is a popular declarative programming paradigm with a wide range of applications in artificial intelligence. Oftentimes, when modeling an AI problem with ASP, and in particular when we are interested beyond simple search for optimal solutions, an actual solution, differences between solutions, or number of solutions of the ASP program matter. For example, when a user aims to identify a specific answer set according to her needs, or requires the total number of diverging solutions to comprehend probabilistic applications such as reasoning in medical domains. Then, there are only certain problem specific and handcrafted encoding techniques available to navigate the solution space of ASP programs, which is oftentimes not enough. In this paper, we propose a formal and general framework for interactive navigation towards desired subsets of answer sets analogous to faceted browsing. Our approach enables the user to explore the solution space by consciously zooming in or out of sub-spaces of solutions at a certain configurable pace. We illustrate that weighted faceted navigation is computationally hard. Finally, we provide an implementation of our approach that demonstrates the feasibility of our framework for incomprehensible solution spaces.




Abstract:This volume contains the papers presented at Arg-LPNMR 2016: First International Workshop on Argumentation in Logic Programming and Nonmonotonic Reasoning held on July 8-10, 2016 in New York City, NY.




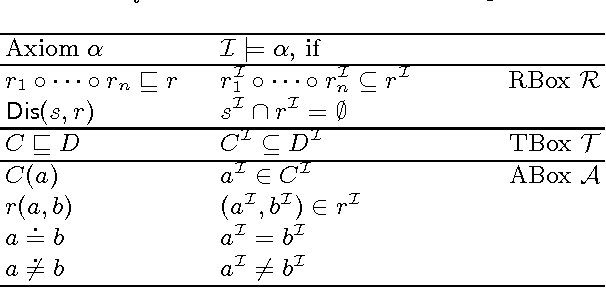
Abstract:To exploit the Web Ontology Language OWL as an answer set programming (ASP) language, we introduce the notion of bounded model semantics, as an intuitive and computationally advantageous alternative to its classical semantics. We show that a translation into ASP allows for solving a wide range of bounded-model reasoning tasks, including satisfiability and axiom entailment but also novel ones such as model extraction and enumeration. Ultimately, our work facilitates harnessing advanced semantic web modeling environments for the logic programming community through an "off-label use" of OWL.




Abstract:Dung's famous abstract argumentation frameworks represent the core formalism for many problems and applications in the field of argumentation which significantly evolved within the last decade. Recent work in the field has thus focused on implementations for these frameworks, whereby one of the main approaches is to use Answer-Set Programming (ASP). While some of the argumentation semantics can be nicely expressed within the ASP language, others required rather cumbersome encoding techniques. Recent advances in ASP systems, in particular, the metasp optimization frontend for the ASP-package gringo/claspD provides direct commands to filter answer sets satisfying certain subset-minimality (or -maximality) constraints. This allows for much simpler encodings compared to the ones in standard ASP language. In this paper, we experimentally compare the original encodings (for the argumentation semantics based on preferred, semi-stable, and respectively, stage extensions) with new metasp encodings. Moreover, we provide novel encodings for the recently introduced resolution-based grounded semantics. Our experimental results indicate that the metasp approach works well in those cases where the complexity of the encoded problem is adequately mirrored within the metasp approach.