



Abstract:Large Language Models (LLMs) are general-purpose tools with wide-ranging applications, including in materials science. In this work, we introduce aLLoyM, a fine-tuned LLM specifically trained on alloy compositions, temperatures, and their corresponding phase information. To develop aLLoyM, we curated question-and-answer (Q&A) pairs for binary and ternary phase diagrams using the open-source Computational Phase Diagram Database (CPDDB) and assessments based on CALPHAD (CALculation of PHAse Diagrams). We fine-tuned Mistral, an open-source pre-trained LLM, for two distinct Q&A formats: multiple-choice and short-answer. Benchmark evaluations demonstrate that fine-tuning substantially enhances performance on multiple-choice phase diagram questions. Moreover, the short-answer model of aLLoyM exhibits the ability to generate novel phase diagrams from its components alone, underscoring its potential to accelerate the discovery of previously unexplored materials systems. To promote further research and adoption, we have publicly released the short-answer fine-tuned version of aLLoyM, along with the complete benchmarking Q&A dataset, on Hugging Face.
Abstract:Solving black-box optimization problems with Ising machines is increasingly common in materials science. However, their application to crystal structure prediction (CSP) is still ineffective due to symmetry agnostic encoding of atomic coordinates. We introduce CRYSIM, an algorithm that encodes the space group, the Wyckoff positions combination, and coordinates of independent atomic sites as separate variables. This encoding reduces the search space substantially by exploiting the symmetry in space groups. When CRYSIM is interfaced to Fixstars Amplify, a GPU-based Ising machine, its prediction performance was competitive with CALYPSO and Bayesian optimization for crystals containing more than 150 atoms in a unit cell. Although it is not realistic to interface CRYSIM to current small-scale quantum devices, it has the potential to become the standard CSP algorithm in the coming quantum age.
Abstract:Generative AI has recently had a profound impact on various fields, including daily life, research, and education. To explore its efficient utilization in data-driven materials science, we organized a hackathon -- AIMHack2024 -- in July 2024. In this hackathon, researchers from fields such as materials science, information science, bioinformatics, and condensed matter physics worked together to explore how generative AI can facilitate research and education. Based on the results of the hackathon, this paper presents topics related to (1) conducting AI-assisted software trials, (2) building AI tutors for software, and (3) developing GUI applications for software. While generative AI continues to evolve rapidly, this paper provides an early record of its application in data-driven materials science and highlights strategies for integrating AI into research and education.
Abstract:NIMS-OS (NIMS Orchestration System) is a Python library created to realize a closed loop of robotic experiments and artificial intelligence (AI) without human intervention for automated materials exploration. It uses various combinations of modules to operate autonomously. Each module acts as an AI for materials exploration or a controller for a robotic experiments. As AI techniques, Bayesian optimization (PHYSBO), boundless objective-free exploration (BLOX), phase diagram construction (PDC), and random exploration (RE) methods can be used. Moreover, a system called NIMS automated robotic electrochemical experiments (NAREE) is available as a set of robotic experimental equipment. Visualization tools for the results are also included, which allows users to check the optimization results in real time. Newly created modules for AI and robotic experiments can be added easily to extend the functionality of the system. In addition, we developed a GUI application to control NIMS-OS.To demonstrate the operation of NIMS-OS, we consider an automated exploration for new electrolytes. NIMS-OS is available at https://github.com/nimsos-dev/nimsos.




Abstract:A black-box optimization algorithm such as Bayesian optimization finds extremum of an unknown function by alternating inference of the underlying function and optimization of an acquisition function. In a high-dimensional space, such algorithms perform poorly due to the difficulty of acquisition function optimization. Herein, we apply quantum annealing (QA) to overcome the difficulty in the continuous black-box optimization. As QA specializes in optimization of binary problems, a continuous vector has to be encoded to binary, and the solution of QA has to be translated back. Our method has the following three parts: 1) Random subspace coding based on axis-parallel hyperrectangles from continuous vector to binary vector. 2) A quadratic unconstrained binary optimization (QUBO) defined by acquisition function based on nonnegative-weighted linear regression model which is solved by QA. 3) A penalization scheme to ensure that the QA solution can be translated back. It is shown in benchmark tests that its performance using D-Wave Advantage$^{\rm TM}$ quantum annealer is competitive with a state-of-the-art method based on the Gaussian process in high-dimensional problems. Our method may open up a new possibility of quantum annealing and other QUBO solvers including quantum approximate optimization algorithm (QAOA) using a gated-quantum computers, and expand its range of application to continuous-valued problems.




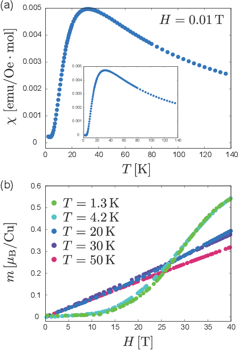
Abstract:We propose a data-driven technique to estimate the spin Hamiltonian, including uncertainty, from multiple physical quantities. Using our technique, an effective model of KCu$_4$P$_3$O$_{12}$ is determined from the experimentally observed magnetic susceptibility and magnetization curves with various temperatures under high magnetic fields. An effective model, which is the quantum Heisenberg model on a zigzag chain with eight spins having $J_1= -8.54 \pm 0.51 \{\rm meV}$, $J_2 = -2.67 \pm 1.13 \{\rm meV}$, $J_3 = -3.90 \pm 0.15 \{\rm meV}$, and $J_4 = 6.24 \pm 0.95 \{\rm meV}$, describes these measured results well. These uncertainties are successfully determined by the noise estimation. The relations among the estimated magnetic interactions or physical quantities are also discussed. The obtained effective model is useful to predict hard-to-measure properties such as spin gap, spin configuration at the ground state, magnetic specific heat, and magnetic entropy.




Abstract:Machine learning applications in materials science are often hampered by shortage of experimental data. Integration with legacy data from past experiments is a viable way to solve the problem, but complex calibration is often necessary to use the data obtained under different conditions. In this paper, we present a novel calibration-free strategy to enhance the performance of Bayesian optimization with preference learning. The entire learning process is solely based on pairwise comparison of quantities (i.e., higher or lower) in the same dataset, and experimental design can be done without comparing quantities in different datasets. We demonstrate that Bayesian optimization is significantly enhanced via addition of legacy data for organic molecules and inorganic solid-state materials.