



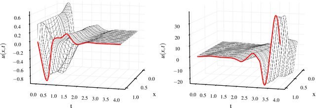
Abstract:To stabilize PDE models, control laws require space-dependent functional gains mapped by nonlinear operators from the PDE functional coefficients. When a PDE is nonlinear and its "pseudo-coefficient" functions are state-dependent, a gain-scheduling (GS) nonlinear design is the simplest approach to the design of nonlinear feedback. The GS version of PDE backstepping employs gains obtained by solving a PDE at each value of the state. Performing such PDE computations in real time may be prohibitive. The recently introduced neural operators (NO) can be trained to produce the gain functions, rapidly in real time, for each state value, without requiring a PDE solution. In this paper we introduce NOs for GS-PDE backstepping. GS controllers act on the premise that the state change is slow and, as a result, guarantee only local stability, even for ODEs. We establish local stabilization of hyperbolic PDEs with nonlinear recirculation using both a "full-kernel" approach and the "gain-only" approach to gain operator approximation. Numerical simulations illustrate stabilization and demonstrate speedup by three orders of magnitude over traditional PDE gain-scheduling. Code (Github) for the numerical implementation is published to enable exploration.