Department of Geography and Environmental Studies, Texas State University, USA
Abstract:PyGALAX is a Python package for geospatial analysis that integrates automated machine learning (AutoML) and explainable artificial intelligence (XAI) techniques to analyze spatial heterogeneity in both regression and classification tasks. It automatically selects and optimizes machine learning models for different geographic locations and contexts while maintaining interpretability through SHAP (SHapley Additive exPlanations) analysis. PyGALAX builds upon and improves the GALAX framework (Geospatial Analysis Leveraging AutoML and eXplainable AI), which has proven to outperform traditional geographically weighted regression (GWR) methods. Critical enhancements in PyGALAX from the original GALAX framework include automatic bandwidth selection and flexible kernel function selection, providing greater flexibility and robustness for spatial modeling across diverse datasets and research questions. PyGALAX not only inherits all the functionalities of the original GALAX framework but also packages them into an accessible, reproducible, and easily deployable Python toolkit while providing additional options for spatial modeling. It effectively addresses spatial non-stationarity and generates transparent insights into complex spatial relationships at both global and local scales, making advanced geospatial machine learning methods accessible to researchers and practitioners in geography, urban planning, environmental science, and related fields.
Abstract:Background and Objective: Bladder cancer is a common malignant urinary carcinoma, with muscle-invasive and non-muscle-invasive as its two major subtypes. This paper aims to achieve automated bladder cancer invasiveness localization and classification based on MRI. Method: Different from previous efforts that segment bladder wall and tumor, we propose a novel end-to-end multi-scale multi-task spatial feature encoder network (MM-SFENet) for locating and classifying bladder cancer, according to the classification criteria of the spatial relationship between the tumor and bladder wall. First, we built a backbone with residual blocks to distinguish bladder wall and tumor; then, a spatial feature encoder is designed to encode the multi-level features of the backbone to learn the criteria. Results: We substitute Smooth-L1 Loss with IoU Loss for multi-task learning, to improve the accuracy of the classification task. By testing a total of 1287 MRIs collected from 98 patients at the hospital, the mAP and IoU are used as the evaluation metrics. The experimental result could reach 93.34\% and 83.16\% on test set. Conclusions: The experimental result demonstrates the effectiveness of the proposed MM-SFENet on the localization and classification of bladder cancer. It may provide an effective supplementary diagnosis method for bladder cancer staging.




Abstract:Multi-label chest X-ray (CXR) recognition involves simultaneously diagnosing and identifying multiple labels for different pathologies. Since pathological labels have rich information about their relationship to each other, modeling the co-occurrence dependencies between pathological labels is essential to improve recognition performance. However, previous methods rely on state variable coding and attention mechanisms-oriented to model local label information, and lack learning of global co-occurrence relationships between labels. Furthermore, these methods roughly integrate image features and label embedding, ignoring the alignment and compactness problems in cross-modal vector fusion.To solve these problems, a Bi-modal Bridged Graph Convolutional Network (BB-GCN) model is proposed. This model mainly consists of a backbone module, a pathology Label Co-occurrence relationship Embedding (LCE) module, and a Transformer Bridge Graph (TBG) module. Specifically, the backbone module obtains image visual feature representation. The LCE module utilizes a graph to model the global co-occurrence relationship between multiple labels and employs graph convolutional networks for learning inference. The TBG module bridges the cross-modal vectors more compactly and efficiently through the GroupSum method.We have evaluated the effectiveness of the proposed BB-GCN in two large-scale CXR datasets (ChestX-Ray14 and CheXpert). Our model achieved state-of-the-art performance: the mean AUC scores for the 14 pathologies were 0.835 and 0.813, respectively.The proposed LCE and TBG modules can jointly effectively improve the recognition performance of BB-GCN. Our model also achieves satisfactory results in multi-label chest X-ray recognition and exhibits highly competitive generalization performance.




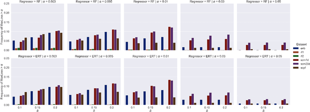
Abstract:We propose a learning framework for calibrating predictive models to make loss-controlling prediction for exchangeable data, which extends our recently proposed conformal loss-controlling prediction for more general cases. By comparison, the predictors built by the proposed loss-controlling approach are not limited to set predictors, and the loss function can be any measurable function without the monotone assumption. To control the loss values in an efficient way, we introduce transformations preserving exchangeability to prove finite-sample controlling guarantee when the test label is obtained, and then develop an approximation approach to construct predictors. The transformations can be built on any predefined function, which include using optimization algorithms for parameter searching. This approach is a natural extension of conformal loss-controlling prediction, since it can be reduced to the latter when the set predictors have the nesting property and the loss functions are monotone. Our proposed method is tested empirically for high-impact weather forecasting and the experimental results demonstrate its effectiveness for controlling the non-monotone loss related to false discovery.