Abstract:Work related musculoskeletal disorders (WMSDs) are often caused by repetitive lifting, making them a significant concern in occupational health. Although wearable assist devices have become the norm for mitigating the risk of back pain, most spinal assist devices still possess a partially rigid structure that impacts the user comfort and flexibility. This paper addresses this issue by presenting a smart textile actuated spine assistance robotic exosuit (SARE), which can conform to the back seamlessly without impeding the user movement and is incredibly lightweight. The SARE can assist the human erector spinae to complete any action with virtually infinite degrees of freedom. To detect the strain on the spine and to control the smart textile automatically, a soft knitting sensor which utilizes fluid pressure as sensing element is used. The new device is validated experimentally with human subjects where it reduces peak electromyography (EMG) signals of lumbar erector spinae by around 32 percent in loaded and around 22 percent in unloaded conditions. Moreover, the integrated EMG decreased by around 24.2 percent under loaded condition and around 23.6 percent under unloaded condition. In summary, the artificial muscle wearable device represents an anatomical solution to reduce the risk of muscle strain, metabolic energy cost and back pain associated with repetitive lifting tasks.




Abstract:Surgical robots have had clinical use since the mid 1990s. Robot-assisted surgeries offer many benefits over the conventional approach including lower risk of infection and blood loss, shorter recovery, and an overall safer procedure for patients. The past few decades have shown many emerging surgical robotic platforms that can work in complex and confined channels of the internal human organs and improve the cognitive and physical skills of the surgeons during the operation. Advanced technologies for sensing, actuation, and intelligent control have enabled multiple surgical devices to simultaneously operate within the human body at low cost and with more efficiency. Despite advances, current surgical intervention systems are not able to execute autonomous tasks and make cognitive decisions that are analogous to that of humans. This paper will overview a historical development of surgery from conventional open to robotic-assisted approaches with discussion on the capabilities of advanced intelligent systems and devices that are currently implemented in existing surgical robotic systems. It will also revisit available autonomous surgical platforms with comments on the essential technologies, existing challenges, and suggestions for the future development of intelligent robotic-assisted surgical systems towards the achievement of fully autonomous operation.




Abstract:Robotic minimally invasive interventions typically require using more than two instruments. We thus developed a foot pedal interface which allows the user to control a robotic arm (simultaneously to working with the hands) with four degrees of freedom in continuous directions and speeds. This paper evaluates and compares the performances of ten naive operators in using this new pedal interface and a traditional button interface in completing tasks. These tasks are geometrically complex path-following tasks similar to those in laparoscopic training, and the traditional button interface allows axis-by-axis control with constant speeds. Precision, time, and smoothness of the subjects' control movements for these tasks are analysed. The results demonstrate that the pedal interface can be used to control a robot for complex motion tasks. The subjects kept the average error rate at a low level of around 2.6% with both interfaces, but the pedal interface resulted in about 30% faster operation speed and 60% smoother movement, which indicates improved efficiency and user experience as compared with the button interface. The results of a questionnaire show that the operators found that controlling the robot with the pedal interface was more intuitive, comfortable, and less tiring than using the button interface.




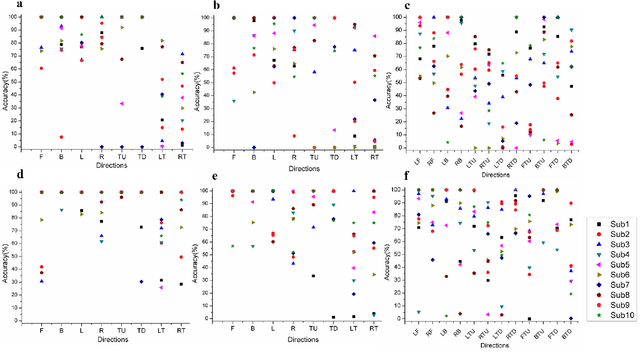
Abstract:In robotic surgery, the surgeon controls robotic instruments using dedicated interfaces. One critical limitation of current interfaces is that they are designed to be operated by only the hands. This means that the surgeon can only control at most two robotic instruments at one time while many interventions require three instruments. This paper introduces a novel four-degree-of-freedom foot-machine interface which allows the surgeon to control a third robotic instrument using the foot, giving the surgeon a "third hand". This interface is essentially a parallel-serial hybrid mechanism with springs and force sensors. Unlike existing switch-based interfaces that can only un-intuitively generate motion in discrete directions, this interface allows intuitive control of a slave robotic arm in continuous directions and speeds, naturally matching the foot movements with dynamic force & position feedbacks. An experiment with ten naive subjects was conducted to test the system. In view of the significant variance of motion patterns between subjects, a subject-specific mapping from foot movements to command outputs was developed using Independent Component Analysis (ICA). Results showed that the ICA method could accurately identify subjects' foot motion patterns and significantly improve the prediction accuracy of motion directions from 68% to 88% as compared with the forward kinematics-based approach. This foot-machine interface can be applied for the teleoperation of industrial/surgical robots independently or in coordination with hands in the future.