Abstract:Industrial manipulators are normally operated in cluttered environments, making safe motion planning important. Furthermore, the presence of model-uncertainties make safe motion planning more difficult. Therefore, in practice the speed is limited in order to reduce the effect of disturbances. There is a need for control methods that can guarantee safe motions that can be executed fast. We address this need by suggesting a novel model predictive control (MPC) solution for manipulators, where our two main components are a robust tube MPC and a corridor planning algorithm to obtain collision-free motion. Our solution results in a convex MPC, which we can solve fast, making our method practically useful. We demonstrate the efficacy of our method in a simulated environment with a 6 DOF industrial robot operating in cluttered environments with uncertainties in model parameters. We outperform benchmark methods, both in terms of being able to work under higher levels of model uncertainties, while also yielding faster motion.
Abstract:Finding a collision-free path is a fundamental problem in robotics, where the sampling based planners have a long line of success. However, this approach is computationally expensive, due to the frequent use of collision-detection. Furthermore, the produced paths are usually jagged and require further post-processing before they can be tracked. Due to their high computational cost, these planners are usually restricted to static settings, since they are not able to cope with rapid changes in the environment. In our work, we remove this restriction by introducing a learned signed distance function expressed in the configuration space of the robot. The signed distance allows us to form collision-free spherical regions in the configuration space, which we use to suggest a new multi-query path planner that also works in dynamic settings. We propose the probabilistic bubble roadmap planner, which enhances the probabilistic roadmap planner (PRM) by using spheres as vertices and compute the edges by checking for neighboring spheres which intersect. We benchmark our approach in a static setting where we show that we can produce paths that are shorter than the paths produced by the PRM, while having a smaller sized roadmap and finding the paths faster. Finally, we show that we can rapidly rewire the graph in the case of new obstacles introduced at run time and therefore produce paths in the case of moving obstacles.
Abstract:This paper presents advanced techniques of training diffusion policies for offline reinforcement learning (RL). At the core is a mean-reverting stochastic differential equation (SDE) that transfers a complex action distribution into a standard Gaussian and then samples actions conditioned on the environment state with a corresponding reverse-time SDE, like a typical diffusion policy. We show that such an SDE has a solution that we can use to calculate the log probability of the policy, yielding an entropy regularizer that improves the exploration of offline datasets. To mitigate the impact of inaccurate value functions from out-of-distribution data points, we further propose to learn the lower confidence bound of Q-ensembles for more robust policy improvement. By combining the entropy-regularized diffusion policy with Q-ensembles in offline RL, our method achieves state-of-the-art performance on most tasks in D4RL benchmarks. Code is available at \href{https://github.com/ruoqizzz/Entropy-Regularized-Diffusion-Policy-with-QEnsemble}{https://github.com/ruoqizzz/Entropy-Regularized-Diffusion-Policy-with-QEnsemble}.
Abstract:The goal of this paper is to provide a system identification-friendly introduction to the Structured State-space Models (SSMs). These models have become recently popular in the machine learning community since, owing to their parallelizability, they can be efficiently and scalably trained to tackle extremely-long sequence classification and regression problems. Interestingly, SSMs appear as an effective way to learn deep Wiener models, which allows to reframe SSMs as an extension of a model class commonly used in system identification. In order to stimulate a fruitful exchange of ideas between the machine learning and system identification communities, we deem it useful to summarize the recent contributions on the topic in a structured and accessible form. At last, we highlight future research directions for which this community could provide impactful contributions.
Abstract:While reinforcement learning has made great improvements, state-of-the-art algorithms can still struggle with seemingly simple set-point feedback control problems. One reason for this is that the learned controller may not be able to excite the system dynamics well enough initially, and therefore it can take a long time to get data that is informative enough to learn for good control. The paper contributes by augmentation of reinforcement learning with a simple guiding feedback controller, for example, a proportional controller. The key advantage in set point control is a much improved excitation that improves the convergence properties of the reinforcement learning controller significantly. This can be very important in real-world control where quick and accurate convergence is needed. The proposed method is evaluated with simulation and on a real-world double tank process with promising results.
Abstract:There has recently been an increased interest in reinforcement learning for nonlinear control problems. However standard reinforcement learning algorithms can often struggle even on seemingly simple set-point control problems. This paper argues that three ideas can improve reinforcement learning methods even for highly nonlinear set-point control problems: 1) Make use of a prior feedback controller to aid amplitude exploration. 2) Use integrated errors. 3) Train on model ensembles. Together these ideas lead to more efficient training, and a trained set-point controller that is more robust to modelling errors and thus can be directly deployed to real-world nonlinear systems. The claim is supported by experiments with a real-world nonlinear cascaded tank process and a simulated strongly nonlinear pH-control system.
Abstract:We consider the problem of finding tuned regularized parameter estimators for linear models. We start by showing that three known optimal linear estimators belong to a wider class of estimators that can be formulated as a solution to a weighted and constrained minimization problem. The optimal weights, however, are typically unknown in many applications. This begs the question, how should we choose the weights using only the data? We propose using the covariance fitting SPICE-methodology to obtain data-adaptive weights and show that the resulting class of estimators yields tuned versions of known regularized estimators - such as ridge regression, LASSO, and regularized least absolute deviation. These theoretical results unify several important estimators under a common umbrella. The resulting tuned estimators are also shown to be practically relevant by means of a number of numerical examples.




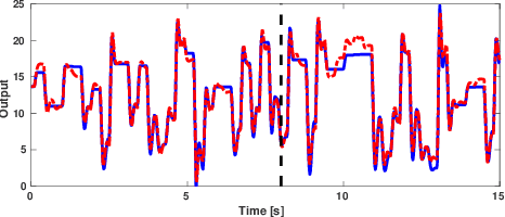
Abstract:In this paper we develop a method for learning nonlinear systems with multiple outputs and inputs. We begin by modelling the errors of a nominal predictor of the system using a latent variable framework. Then using the maximum likelihood principle we derive a criterion for learning the model. The resulting optimization problem is tackled using a majorization-minimization approach. Finally, we develop a convex majorization technique and show that it enables a recursive identification method. The method learns parsimonious predictive models and is tested on both synthetic and real nonlinear systems.