



Abstract:Developing imaging models capable of detecting pathologies from chest X-rays can be cost and time-prohibitive for large datasets as it requires supervision to attain state-of-the-art performance. Instead, labels extracted from radiology reports may serve as distant supervision since these are routinely generated as part of clinical practice. Despite their widespread use, current rule-based methods for label extraction rely on extensive rule sets that are limited in their robustness to syntactic variability. To alleviate these limitations, we introduce RadPert, a rule-based system that integrates an uncertainty-aware information schema with a streamlined set of rules, enhancing performance. Additionally, we have developed RadPrompt, a multi-turn prompting strategy that leverages RadPert to bolster the zero-shot predictive capabilities of large language models, achieving a statistically significant improvement in weighted average F1 score over GPT-4 Turbo. Most notably, RadPrompt surpasses both its underlying models, showcasing the synergistic potential of LLMs with rule-based models. We have evaluated our methods on two English Corpora: the MIMIC-CXR gold-standard test set and a gold-standard dataset collected from the Cambridge University Hospitals.




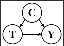
Abstract:Despite peer-reviewing being an essential component of academia since the 1600s, it has repeatedly received criticisms for lack of transparency and consistency. We posit that recent work in machine learning and explainable AI provide tools that enable insights into the decisions from a given peer review process. We start by extracting global explanations in the form of linguistic features that affect the acceptance of a scientific paper for publication on an open peer-review dataset. Second, since such global explanations do not justify causal interpretations, we provide a methodology for detecting confounding effects in natural language in order to generate causal explanations, under assumptions, in the form of lexicons. Our proposed linguistic explanation methodology indicates the following on a case dataset of ICLR submissions: a) the organising committee follows, for the most part, the recommendations of reviewers, and, b) the paper's main characteristics that led to reviewers recommending acceptance for publication are originality, clarity and substance.