



Abstract:6G must be designed to withstand, adapt to, and evolve amid prolonged, complex disruptions. Mobile networks' shift from efficiency-first to sustainability-aware has motivated this white paper to assert that resilience is a primary design goal, alongside sustainability and efficiency, encompassing technology, architecture, and economics. We promote resilience by analysing dependencies between mobile networks and other critical systems, such as energy, transport, and emergency services, and illustrate how cascading failures spread through infrastructures. We formalise resilience using the 3R framework: reliability, robustness, resilience. Subsequently, we translate this into measurable capabilities: graceful degradation, situational awareness, rapid reconfiguration, and learning-driven improvement and recovery. Architecturally, we promote edge-native and locality-aware designs, open interfaces, and programmability to enable islanded operations, fallback modes, and multi-layer diversity (radio, compute, energy, timing). Key enablers include AI-native control loops with verifiable behaviour, zero-trust security rooted in hardware and supply-chain integrity, and networking techniques that prioritise critical traffic, time-sensitive flows, and inter-domain coordination. Resilience also has a techno-economic aspect: open platforms and high-quality complementors generate ecosystem externalities that enhance resilience while opening new markets. We identify nine business-model groups and several patterns aligned with the 3R objectives, and we outline governance and standardisation. This white paper serves as an initial step and catalyst for 6G resilience. It aims to inspire researchers, professionals, government officials, and the public, providing them with the essential components to understand and shape the development of 6G resilience.




Abstract:This paper investigates the deployment of radio stripe systems for indoor radio-frequency (RF) wireless power transfer (WPT) in line-of-sight near-field scenarios. The focus is on environments where energy demand is concentrated in specific areas, referred to as 'hotspots', spatial zones with higher user density or consistent energy requirements. We formulate a joint clustering and radio stripe deployment problem that aims to maximize the minimum received power across all hotspots. To address the complexity, we decouple the problem into two stages: i) clustering for assigning radio stripes to hotspots based on their spatial positions and near-field propagation characteristics, and ii) antenna element placement optimization. In particular, we propose four radio stripe deployment algorithms. Two are based on general successive convex approximation (SCA) and signomial programming (SGP) methods. The other two are shape-constrained solutions where antenna elements are arranged along either straight lines or regular polygons, enabling simpler deployment. Numerical results show that the proposed clustering method converges effectively, with Chebyshev initialization significantly outperforming random initialization. The optimized deployments consistently outperform baseline benchmarks across a wide range of frequencies and radio stripe lengths, while the polygon-shaped deployment achieves better performance compared to other approaches. Meanwhile, the line-shaped deployment demonstrates an advantage under high boresight gain settings, benefiting from increased spatial diversity and broader angular coverage.




Abstract:Energy-awareness for adapting task execution behavior can bring several benefits in terms of performance improvement in energy harvesting (EH) Internet of Things (IoT) devices. However, the energy measurement cost of acquiring energy information, which is traditionally ignored, can potentially neutralize or even reverse the potential benefits. This paper highlights operational parameters, such as energy measurement frequency and task execution frequency, which can be tuned to improve the task execution performance of an EH-IoT device. To this end, we consider energy-blind (EB) and energy-aware (EA) task decision approaches and compare their task completion rate performance. We show that, for specific hardware design parameters of an EH-IoT device, there exists an optimal energy measurement/task execution frequency that can maximize the task completion rate in both approaches. Moreover, if these parameters are not chosen appropriately, then energy measurement costs can cause EA scheduling to underperform compared to EB scheduling.




Abstract:This paper explores a multi-antenna dual-functional radio frequency (RF) wireless power transfer (WPT) and radar system to charge multiple unresponsive devices. We formulate a beamforming problem to maximize the minimum received power at the devices without prior location and channel state information (CSI) knowledge. We propose dividing transmission blocks into sensing and charging phases. First, the location of the devices is estimated by sending sensing signals and performing multiple signal classification and least square estimation on the received echo. Then, the estimations are used for CSI prediction and RF-WPT beamforming. Simulation results reveal that there is an optimal number of blocks allocated for sensing and charging depending on the system setup. Our sense-then-charge (STC) protocol can outperform CSI-free benchmarks and achieve near-optimal performance with a sufficient number of receive antennas and transmit power. However, STC struggles if using insufficient antennas or power as device numbers grow.




Abstract:Accurate orientation estimation of an object in a scene is critical in robotics, aerospace, augmented reality, and medicine, as it supports scene understanding. This paper introduces a novel orientation estimation approach leveraging radio frequency (RF) sensing technology and leaky-wave antennas (LWAs). Specifically, we propose a framework for a radar system to estimate the orientation of a \textit{dumb} LWA-equipped backscattering tag, marking the first exploration of this method in the literature. Our contributions include a comprehensive framework for signal modeling and orientation estimation with multi-subcarrier transmissions, and the formulation of a maximum likelihood estimator (MLE). Moreover, we analyze the impact of imperfect tag location information, revealing that it minimally affects estimation accuracy. Exploiting related results, we propose an approximate MLE and introduce a low-complexity radiation-pointing angle-based estimator with near-optimal performance. We derive the feasible orientation estimation region of the latter and show that it depends mainly on the system bandwidth. Our analytical results are validated through Monte Carlo simulations and reveal that the low-complexity estimator achieves near-optimal accuracy and that its feasible orientation estimation region is also approximately shared by the other estimators. Finally, we show that the optimal number of subcarriers increases with sensing time under a power budget constraint.
Abstract:This paper presents an approach for energy-neutral Internet of Things (IoT) scenarios where the IoT devices (IoTDs) rely entirely on their energy harvesting capabilities to sustain operation. We use a Markov chain to represent the operation and transmission states of the IoTDs, a modulated Poisson process to model their energy harvesting process, and a discrete-time Markov chain to model their battery state. The aim is to efficiently manage the duty cycling of the IoTDs, so as to prolong their battery life and reduce instances of low-energy availability. We propose a duty-cycling management based on K- nearest neighbors, aiming to strike a trade-off between energy efficiency and detection accuracy. This is done by incorporating spatial and temporal correlations among IoTDs' activity, as well as their energy harvesting capabilities. We also allow the base station to wake up specific IoTDs if more information about an event is needed upon initial detection. Our proposed scheme shows significant improvements in energy savings and performance, with up to 11 times lower misdetection probability and 50\% lower energy consumption for high-density scenarios compared to a random duty cycling benchmark.




Abstract:Radio frequency (RF) wireless power transfer (WPT) is a key technology for future low-power wireless systems. However, the inherently low end-to-end power transfer efficiency (PTE) is challenging for practical applications. The main factors contributing to it are the channel losses, transceivers' power consumption, and losses related, e.g., to the digital-to-analog converter (DAC), high-power amplifier, and rectenna. Optimizing PTE requires careful consideration of these factors, motivating the current work. Herein, we consider an analog multi-antenna power transmitter that aims to charge a single energy harvester. We first provide a mathematical framework to calculate the harvested power from multi-tone signal transmissions and the system power consumption. Then, we formulate the joint waveform and analog beamforming design problem to minimize power consumption and meet the charging requirements. Finally, we propose an optimization approach relying on swarm intelligence to solve the specified problem. Simulation results quantify the power consumption reduction as the DAC, phase shifters resolution, and antenna length are increased, while it is seen that increasing system frequency results in higher power consumption.
Abstract:In recent years, Artificial Intelligence (AI) and Machine learning (ML) have gained significant interest from both, industry and academia. Notably, conventional ML techniques require enormous amounts of power to meet the desired accuracy, which has limited their use mainly to high-capability devices such as network nodes. However, with many advancements in technologies such as the Internet of Things (IoT) and edge computing, it is desirable to incorporate ML techniques into resource-constrained embedded devices for distributed and ubiquitous intelligence. This has motivated the emergence of the TinyML paradigm which is an embedded ML technique that enables ML applications on multiple cheap, resource- and power-constrained devices. However, during this transition towards appropriate implementation of the TinyML technology, multiple challenges such as processing capacity optimization, improved reliability, and maintenance of learning models' accuracy require timely solutions. In this article, various avenues available for TinyML implementation are reviewed. Firstly, a background of TinyML is provided, followed by detailed discussions on various tools supporting TinyML. Then, state-of-art applications of TinyML using advanced technologies are detailed. Lastly, various research challenges and future directions are identified.




Abstract:Reducing energy consumption is a pressing issue in low-power machine-type communication (MTC) networks. In this regard, the Wake-up Signal (WuS) technology, which aims to minimize the energy consumed by the radio interface of the machine-type devices (MTDs), stands as a promising solution. However, state-of-the-art WuS mechanisms use static operational parameters, so they cannot efficiently adapt to the system dynamics. To overcome this, we design a simple but efficient neural network to predict MTC traffic patterns and configure WuS accordingly. Our proposed forecasting WuS (FWuS) leverages an accurate long-short term memory (LSTM)- based traffic prediction that allows extending the sleep time of MTDs by avoiding frequent page monitoring occasions in idle state. Simulation results show the effectiveness of our approach. The traffic prediction errors are shown to be below 4%, being false alarm and miss-detection probabilities respectively below 8.8% and 1.3%. In terms of energy consumption reduction, FWuS can outperform the best benchmark mechanism in up to 32%. Finally, we certify the ability of FWuS to dynamically adapt to traffic density changes, promoting low-power MTC scalability




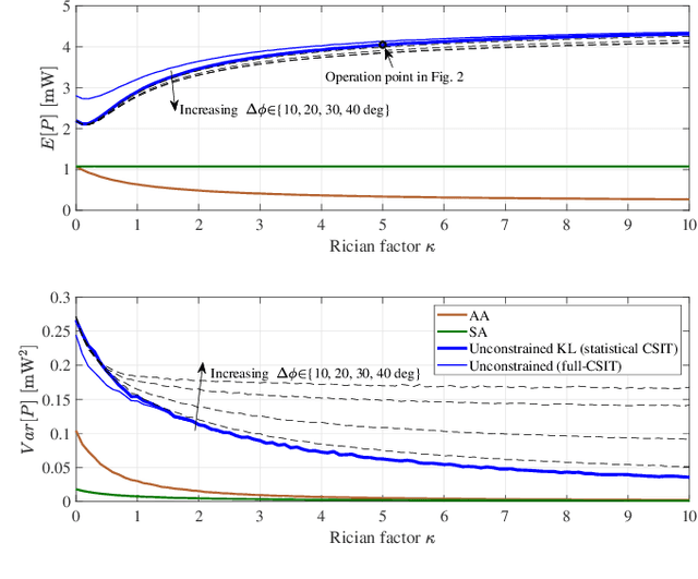
Abstract:Wireless energy transfer (WET) is a promising solution to enable massive machine-type communications (mMTC) with low-complexity and low-powered wireless devices. Given the energy restrictions of the devices, instant channel state information at the transmitter (CSIT) is not expected to be available in practical WET-enabled mMTC. However, because it is common that the terminals appear spatially clustered, some degree of spatial correlation between their channels to the base station (BS) is expected to occur. The paper considers a massive antenna array at the BS for WET that only has access to i) the first and second order statistics of the Rician channel component of the multiple-input multiple-output (MIMO) channel and also to ii) the line-of-sight MIMO component. The optimal precoding scheme that maximizes the total energy available to the single-antenna devices is derived considering a continuous alphabet for the precoders, permitting any modulated or deterministic waveform. This may lead to some devices in the clusters being assigned a low fraction of the total available power in the cluster, creating a rather uneven situation among them. Consequently, a fairness criterion is introduced, imposing a minimum amount of power allocated to the terminals. A piece-wise linear harvesting circuit is considered at the terminals, with both saturation and a minimum sensitivity, and a constrained version of the precoder is also proposed by solving a non-linear programming problem. A paramount benefit of the constrained precoder is the encompassment of fairness in the power allocation to the different clusters. Moreover, given the polynomial complexity increase of the proposed unconstrained precoder, and the observed linear gain of the system's available sum-power with an increasing number of antennas at the ULA, the use of massive antenna arrays is desirable.