



Abstract:Radio frequency (RF) wireless energy transfer (WET) is a promising technology for powering the growing ecosystem of Internet of Things (IoT) devices using power beacons (PBs). Recent research focuses on designing efficient PB architectures that can support numerous antennas. In this context, PBs equipped with intelligent surfaces present a promising approach, enabling physically large, reconfigurable arrays. Motivated by these advantages, this work aims to minimize the power consumption of a PB equipped with a passive intelligent transmitting surface (ITS) and a collocated digital beamforming-based feeder to charge multiple single-antenna devices. To model the PB's power consumption accurately, we consider power amplifiers nonlinearities, ITS control power, and feeder-to-ITS air interface losses. The resulting optimization problem is highly nonlinear and nonconvex due to the high-power amplifier (HPA), the received power constraints at the devices, and the unit-modulus constraint imposed by the phase shifter configuration of the ITS. To tackle this issue, we apply successive convex approximation (SCA) to iteratively solve convex subproblems that jointly optimize the digital precoder and phase configuration. Given SCA's sensitivity to initialization, we propose an algorithm that ensures initialization feasibility while balancing convergence speed and solution quality. We compare the proposed ITS-equipped PB's power consumption against benchmark architectures featuring digital and hybrid analog-digital beamforming. Results demonstrate that the proposed architecture efficiently scales with the number of RF chains and ITS elements. We also show that nonuniform ITS power distribution influences beamforming and can shift a device between near- and far-field regions, even with a constant aperture.




Abstract:Direct-to-Satellite IoT (DtS-IoT) has the potential to support multiple verticals, including agriculture, industry, smart cities, and environmental disaster prevention. This work introduces two novel DtS-IoT schemes using power domain NonOrthogonal Multiple Access (NOMA) in the uplink with either fixed (FTP) or controlled (CTP) transmit power. We consider that the IoT devices use LoRa technology to transmit data packets to the satellite in orbit, equipped with a Successive Interference Cancellation (SIC)-enabled gateway. We also assume the IoT devices are empowered with a predictor of the satellite orbit. Using real geographic location and trajectory data, we evaluate the performance of the average number of successfully decoded transmissions, goodput (bytes/lap), and energy consumption (bytes/Joule) as a function of the number of network devices. Numerical results show the trade-off between goodput and energy efficiency for both proposed schemes. Comparing FTP and CTP with regular ALOHA for 100 (600) devices, we find goodput improvements of 65% (29%) and 52% (101%), respectively. Notably, CTP effectively leverages transmission opportunities as the network size increases, outperforming the other strategies. Moreover, CTP shows the best performance in energy efficiency compared to FTP and ALOHA.
Abstract:This paper presents an approach for energy-neutral Internet of Things (IoT) scenarios where the IoT devices (IoTDs) rely entirely on their energy harvesting capabilities to sustain operation. We use a Markov chain to represent the operation and transmission states of the IoTDs, a modulated Poisson process to model their energy harvesting process, and a discrete-time Markov chain to model their battery state. The aim is to efficiently manage the duty cycling of the IoTDs, so as to prolong their battery life and reduce instances of low-energy availability. We propose a duty-cycling management based on K- nearest neighbors, aiming to strike a trade-off between energy efficiency and detection accuracy. This is done by incorporating spatial and temporal correlations among IoTDs' activity, as well as their energy harvesting capabilities. We also allow the base station to wake up specific IoTDs if more information about an event is needed upon initial detection. Our proposed scheme shows significant improvements in energy savings and performance, with up to 11 times lower misdetection probability and 50\% lower energy consumption for high-density scenarios compared to a random duty cycling benchmark.




Abstract:Reducing energy consumption is a pressing issue in low-power machine-type communication (MTC) networks. In this regard, the Wake-up Signal (WuS) technology, which aims to minimize the energy consumed by the radio interface of the machine-type devices (MTDs), stands as a promising solution. However, state-of-the-art WuS mechanisms use static operational parameters, so they cannot efficiently adapt to the system dynamics. To overcome this, we design a simple but efficient neural network to predict MTC traffic patterns and configure WuS accordingly. Our proposed forecasting WuS (FWuS) leverages an accurate long-short term memory (LSTM)- based traffic prediction that allows extending the sleep time of MTDs by avoiding frequent page monitoring occasions in idle state. Simulation results show the effectiveness of our approach. The traffic prediction errors are shown to be below 4%, being false alarm and miss-detection probabilities respectively below 8.8% and 1.3%. In terms of energy consumption reduction, FWuS can outperform the best benchmark mechanism in up to 32%. Finally, we certify the ability of FWuS to dynamically adapt to traffic density changes, promoting low-power MTC scalability




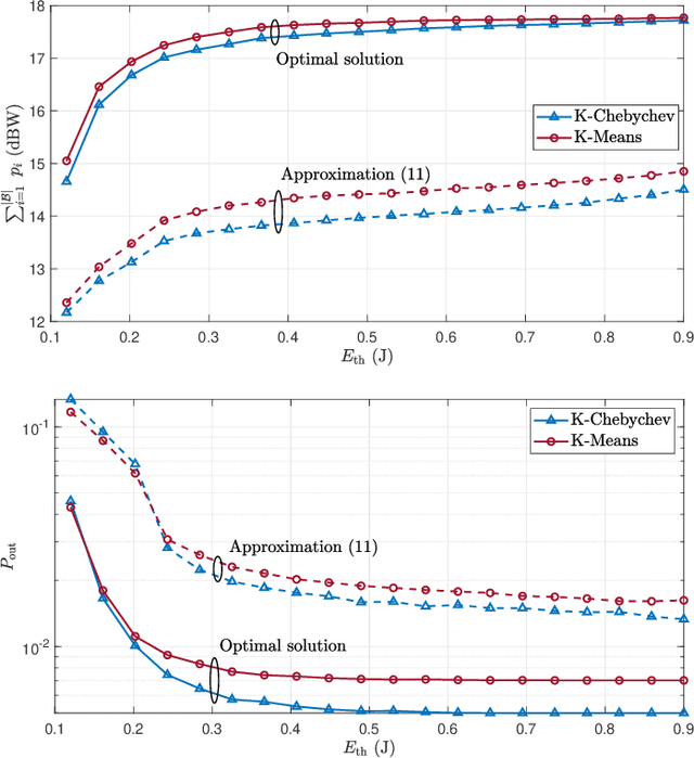
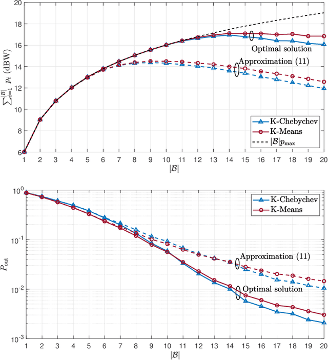
Abstract:The Internet of Things (IoT) comprises an increasing number of low-power and low-cost devices that autonomously interact with the surrounding environment. As a consequence of their popularity, future IoT deployments will be massive, which demands energy-efficient systems to extend their lifetime and improve the user experience. Radio frequency wireless energy transfer has the potential of powering massive IoT networks, thus eliminating the need for frequent battery replacement by using the so-called power beacons (PBs). In this paper, we provide a framework for minimizing the sum transmit power of the PBs using devices' positions information and their current battery state. Our strategy aims to reduce the PBs' power consumption and to mitigate the possible impact of the electromagnetic radiation on human health. We also present analytical insights for the case of very distant clusters and evaluate their applicability. Numerical results show that our proposed framework reduces the outage probability as the number of PBs and/or the energy demands increase.