Abstract:Precision in radiation therapy relies on immobilization systems that limit patient motion. Thermoplastic masks are commonly used for this purpose, but subtle voluntary and involuntary movements such as jaw shifts, deep breathing, or eye squinting may still compromise treatment accuracy. Existing motion tracking methods are limited: optical systems require a clear line of sight and only detect surface motion, while X-ray-based tracking introduces additional ionizing radiation. This study explores the use of low-power, non-ionizing millimeter-wave (mmWave) sensing for through-mask motion detection. We characterize the RF properties of thermoplastic mask material in the 28-38 GHz range and perform motion detection using a 1 GHz bandwidth centered at 28 GHz. We use a frequency-domain system with horn antennas in a custom-built anechoic chamber to capture changes in the amplitude and phase of transmitted RF waves in response to subtle head and facial movements. These findings lay groundwork for future real-time through-mask motion tracking and future integration with multi-antenna systems and machine learning for error correction during radiotherapy.
Abstract:Growing demand for high data rates is driving interest in the upper mid-band (FR 3) spectrum (6-24 GHz). While some propagation measurements exist in literature, the impact of vegetation on link performance remains under-explored. This study examines vegetation-induced losses in an urban scenario across 6-18 GHz. A simple method for calculating vegetation depth is introduced, along with a model that quantifies additional attenuation based on vegetation depth and frequency, divided into 1 GHz sub-bands. We see that excess vegetation loss increases with vegetation depth and higher frequencies. These findings provide insights for designing reliable, foliage-aware communication networks in FR 3.




Abstract:The THz band (0.1-10 THz) has attracted considerable attention for next-generation wireless communications, due to the large amount of available bandwidth that may be key to meet the rapidly increasing data rate requirements. Before deploying a system in this band, a detailed wireless channel analysis is required as the basis for proper design and testing of system implementations. One of the most important deployment scenarios of this band is the outdoor microcellular environment, where the Transmitter (Tx) and the Receiver (Rx) have a significant height difference (typically $ \ge 10$ m). In this paper, we present double-directional (i.e., directionally resolved at both link ends) channel measurements in such a microcellular scenario encompassing street canyons and an open square. Measurements are done for a 1 GHz bandwidth between 145-146 GHz and an antenna beamwidth of 13 degree; distances between Tx and Rx are up to 85 m and the Tx is at a height of 11.5 m from the ground. The measurements are analyzed to estimate path loss, shadowing, delay spread, angular spread, and multipath component (MPC) power distribution. These results allow the development of more realistic and detailed THz channel models and system performance assessment.




Abstract:Terahertz (THz) communications are envisioned as a key technology for sixth generation (6G) wireless systems. The study of underlying THz wireless propagation channels provides the foundations for the development of reliable THz communication systems and their applications. This article provides a comprehensive overview of the study of THz wireless channels. First, the three most popular THz channel measurement methodologies, namely, frequency-domain channel measurement based on a vector network analyzer (VNA), time-domain channel measurement based on sliding correlation, and time-domain channel measurement based on THz pulses from time-domain spectroscopy (THz-TDS), are introduced and compared. Current channel measurement systems and measurement campaigns are reviewed. Then, existing channel modeling methodologies are categorized into deterministic, stochastic, and hybrid approaches. State-of-the-art THz channel models are analyzed, and the channel simulators that are based on them are introduced. Next, an in-depth review of channel characteristics in the THz band is presented. Finally, open problems and future research directions for research studies on THz wireless channels for 6G are elaborated.




Abstract:THz band is envisioned to be used in 6G systems to meet the ever-increasing demand for data rate. However, before an eventual system design and deployment can proceed, detailed channel sounding measurements are required to understand key channel characteristics. In this paper, we present a first extensive set of channel measurements for urban outdoor environments that are ultra-wideband (1 GHz 3dB bandwidth), and double-directional where both the transmitter and receiver are at the same height. In all, we present measurements at 38 Tx/Rx location pairs, consisting of a total of nearly 50,000 impulse responses, at both line-of-sight (LoS) and non-line-of-sight (NLoS) cases in the 1-100 m range. We provide modeling for path loss, shadowing, delay spread, angular spread and multipath component (MPC) power distribution. We find, among other things, that outdoor communication over tens of meters is feasible in this frequency range even in NLoS scenarios, that omni-directional delay spreads of up to 100 ns, and directional delay spreads of up to 10 ns are observed, while angular spreads are also quite significant, and a surprisingly large number of MPCs are observed for 1 GHz bandwidth and 13 degree beamwidth. These results constitute an important first step towards better understanding the wireless channel in the THz band.




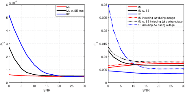
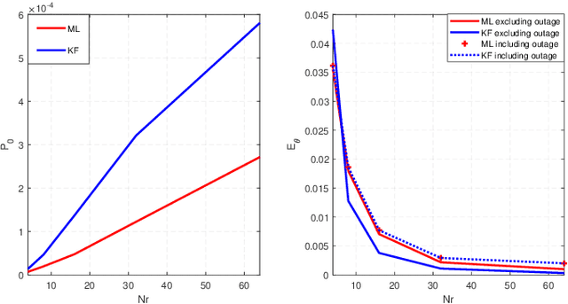
Abstract:Utilizing millimeter-wave (mmWave) frequencies for wireless communication in \emph{mobile} systems is challenging since it requires continuous tracking of the beam direction. Recently, beam tracking techniques based on channel sparsity and/or Kalman filter-based techniques were proposed where the solutions use assumptions regarding the environment and device mobility that may not hold in practical scenarios. In this paper, we explore a machine learning-based approach to track the angle of arrival (AoA) for specific paths in realistic scenarios. In particular, we use a recurrent neural network (R-NN) structure with a modified cost function to track the AoA. We propose methods to train the network in sequential data, and study the performance of our proposed solution in comparison to an extended Kalman filter based solution in a realistic mmWave scenario based on stochastic channel model from the QuaDRiGa framework. Results show that our proposed solution outperforms an extended Kalman filter-based method by reducing the AoA outage probability, and thus reducing the need for frequent beam search.