



Abstract:While data are the primary fuel for machine learning models, they often suffer from missing values, especially when collected in real-world scenarios. However, many off-the-shelf machine learning models, including artificial neural network models, are unable to handle these missing values directly. Therefore, extra data preprocessing and curation steps, such as data imputation, are inevitable before learning and prediction processes. In this study, we propose a simple and intuitive yet effective method for pruning missing values (PROMISSING) during learning and inference steps in neural networks. In this method, there is no need to remove or impute the missing values; instead, the missing values are treated as a new source of information (representing what we do not know). Our experiments on simulated data, several classification and regression benchmarks, and a multi-modal clinical dataset show that PROMISSING results in similar prediction performance compared to various imputation techniques. In addition, our experiments show models trained using PROMISSING techniques are becoming less decisive in their predictions when facing incomplete samples with many unknowns. This finding hopefully advances machine learning models from being pure predicting machines to more realistic thinkers that can also say "I do not know" when facing incomplete sources of information.





Abstract:Ultrasound-guided regional anesthesia (UGRA) can replace general anesthesia (GA), improving pain control and recovery time. This method can be applied on the brachial plexus (BP) after clavicular surgeries. However, identification of the BP from ultrasound (US) images is difficult, even for trained professionals. To address this problem, convolutional neural networks (CNNs) and more advanced deep neural networks (DNNs) can be used for identification and segmentation of the BP nerve region. In this paper, we propose a hybrid model consisting of a classification model followed by a segmentation model to segment BP nerve regions in ultrasound images. A CNN model is employed as a classifier to precisely select the images with the BP region. Then, a U-net or M-net model is used for the segmentation. Our experimental results indicate that the proposed hybrid model significantly improves the segmentation performance over a single segmentation model.





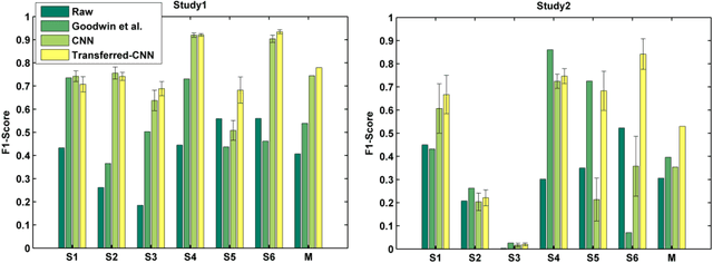
Abstract:Autism Spectrum Disorders are associated with atypical movements, of which stereotypical motor movements (SMMs) interfere with learning and social interaction. The automatic SMM detection using inertial measurement units (IMU) remains complex due to the strong intra and inter-subject variability, especially when handcrafted features are extracted from the signal. We propose a new application of the deep learning to facilitate automatic SMM detection using multi-axis IMUs. We use a convolutional neural network (CNN) to learn a discriminative feature space from raw data. We show how the CNN can be used for parameter transfer learning to enhance the detection rate on longitudinal data. We also combine the long short-term memory (LSTM) with CNN to model the temporal patterns in a sequence of multi-axis signals. Further, we employ ensemble learning to combine multiple LSTM learners into a more robust SMM detector. Our results show that: 1) feature learning outperforms handcrafted features; 2) parameter transfer learning is beneficial in longitudinal settings; 3) using LSTM to learn the temporal dynamic of signals enhances the detection rate especially for skewed training data; 4) an ensemble of LSTMs provides more accurate and stable detectors. These findings provide a significant step toward accurate SMM detection in real-time scenarios.





Abstract:Autism Spectrum Disorders (ASDs) are often associated with specific atypical postural or motor behaviors, of which Stereotypical Motor Movements (SMMs) have a specific visibility. While the identification and the quantification of SMM patterns remain complex, its automation would provide support to accurate tuning of the intervention in the therapy of autism. Therefore, it is essential to develop automatic SMM detection systems in a real world setting, taking care of strong inter-subject and intra-subject variability. Wireless accelerometer sensing technology can provide a valid infrastructure for real-time SMM detection, however such variability remains a problem also for machine learning methods, in particular whenever handcrafted features extracted from accelerometer signal are considered. Here, we propose to employ the deep learning paradigm in order to learn discriminating features from multi-sensor accelerometer signals. Our results provide preliminary evidence that feature learning and transfer learning embedded in the deep architecture achieve higher accurate SMM detectors in longitudinal scenarios.
