



Abstract:We address the challenge of designing cellular networks for uncrewed aerial vehicles (UAVs) corridors through a novel data-driven approach. We assess multiple state-of-the-art high-dimensional Bayesian optimization (HD-BO) techniques to jointly optimize the cell antenna tilts and half-power beamwidth (HPBW). We find that some of these approaches achieve over 20dB gains in median SINR along UAV corridors, with negligible degradation to ground user performance. Furthermore, we explore the HD-BO's capabilities in terms of model generalization via transfer learning, where data from a previously observed scenario source is leveraged to predict the optimal solution for a new scenario target. We provide examples of scenarios where such transfer learning is successful and others where it fails. Moreover, we demonstrate that HD-BO enables multi-objective optimization, identifying optimal design trade-offs between data rates on the ground versus UAV coverage reliability. We observe that aiming to provide UAV coverage across the entire sky can lower the rates for ground users compared to setups specifically optimized for UAV corridors. Finally, we validate our approach through a case study in a real-world cellular network, where HD-BO identifies optimal and non-obvious antenna configurations that result in more than double the rates along 3D UAV corridors with negligible ground performance loss.




Abstract:This white paper discusses the role of large-scale AI in the telecommunications industry, with a specific focus on the potential of generative AI to revolutionize network functions and user experiences, especially in the context of 6G systems. It highlights the development and deployment of Large Telecom Models (LTMs), which are tailored AI models designed to address the complex challenges faced by modern telecom networks. The paper covers a wide range of topics, from the architecture and deployment strategies of LTMs to their applications in network management, resource allocation, and optimization. It also explores the regulatory, ethical, and standardization considerations for LTMs, offering insights into their future integration into telecom infrastructure. The goal is to provide a comprehensive roadmap for the adoption of LTMs to enhance scalability, performance, and user-centric innovation in telecom networks.




Abstract:Understanding telecom standards involves sorting through numerous technical documents, such as those produced by the 3rd Generation Partnership Project (3GPP), which is time-consuming and labor-intensive. While large language models (LLMs) can assist with the extensive 3GPP knowledge base, an inclusive dataset is crucial for their effective pre-training and fine-tuning. In this paper, we introduce \textit{TSpec-LLM}, an open-source comprehensive dataset covering all 3GPP documents from Release 8 to Release 19 (1999--2023). To evaluate its efficacy, we first select a representative sample of 3GPP documents, create corresponding technical questions, and assess the baseline performance of various LLMs. We then incorporate a retrieval-augmented generation (RAG) framework to enhance LLM capabilities by retrieving relevant context from the \textit{TSpec-LLM} dataset. Our evaluation shows that using a naive-RAG framework on \textit{TSpec-LLM} improves the accuracy of GPT-3.5, Gemini 1.0 Pro, and GPT-4 from 44\%, 46\%, and 51\% to 71\%, 75\%, and 72\%, respectively.




Abstract:As traditional cellular base stations (BSs) are optimized for 2D ground service, providing 3D connectivity to uncrewed aerial vehicles (UAVs) requires re-engineering of the existing infrastructure. In this paper, we propose a new methodology for designing cellular networks that cater for both ground users and UAV corridors based on Bayesian optimization. We present a case study in which we maximize the signal-to-interference-plus-noise ratio (SINR) for both populations of users by optimizing the electrical antenna tilts and the transmit power employed at each BS. Our proposed optimized network significantly boosts the UAV performance, with a 23.4dB gain in mean SINR compared to an all-downtilt, full-power baseline. At the same time, this optimal tradeoff nearly preserves the performance on the ground, even attaining a gain of 1.3dB in mean SINR with respect to said baseline. Thanks to its ability to optimize black-box stochastic functions, the proposed framework is amenable to maximize any desired function of the SINR or even the capacity per area.




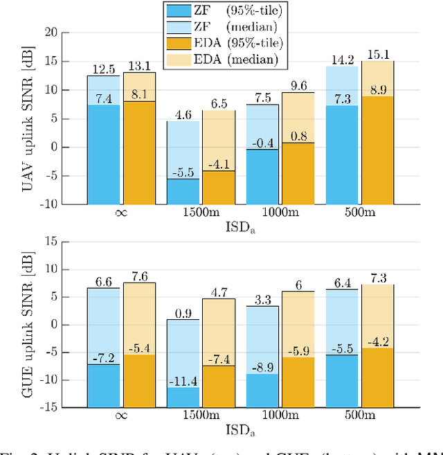
Abstract:With growing interest in integrating terrestrial networks (TNs) and non-terrestrial networks (NTNs) to connect the unconnected, a key question is whether this new paradigm could also be opportunistically exploited to augment service in urban areas. We assess this possibility in the context of an integrated TN-NTN, comprising a ground cellular deployment paired with a Low Earth Orbit (LEO) satellite constellation, providing sub-6 GHz connectivity to an urban area populated by ground users (GUEs) and uncrewed aerial vehicles (UAVs). Our study reveals that offloading UAV traffic to the NTN segment drastically reduces the downlink outage of UAVs from 70% to nearly zero, also boosting their uplink signal quality as long as the LEO satellite constellation is sufficiently dense to guarantee a minimum elevation angle. Offloading UAVs to the NTN also benefits coexisting GUEs, preventing uplink outages of around 12% that GUEs would otherwise incur. Despite the limited bandwidth available below 6 GHz, NTN-offloaded UAVs meet command and control rate requirements even across an area the size of Barcelona with as many as one active UAV per cell. Smaller UAV populations yield proportionally higher rates, potentially enabling aerial broadband applications.




Abstract:Integrating terrestrial and non-terrestrial networks has the potential of connecting the unconnected and enhancing the user experience for the already-connected, with technological and societal implications of the greatest long-term significance. A convergence of ground, air, and space wireless communications also represents a formidable endeavor for the mobile and satellite communications industries alike, as it entails defining and intelligently orchestrating a new 3D wireless network architecture. In this article, we present the key opportunities and challenges arising from this (r)evolution by presenting some of its disruptive use-cases and key building blocks, reviewing the relevant standardization activities, and pointing to open research problems. By considering two multi-operator paradigms, we also showcase how terrestrial networks could be efficiently re-engineered to cater for aerial services, or opportunistically complemented by non-terrestrial infrastructure to augment their current capabilities.