



Abstract:While MPC enables nonlinear feedback control by solving an optimal control problem at each timestep, the computational burden tends to be significantly large, making it difficult to optimize a policy within the control period. To address this issue, one possible approach is to utilize terminal value learning to reduce computational costs. However, the learned value cannot be used for other tasks in situations where the task dynamically changes in the original MPC setup. In this study, we develop an MPC framework with goal-conditioned terminal value learning to achieve multitask policy optimization while reducing computational time. Furthermore, by using a hierarchical control structure that allows the upper-level trajectory planner to output appropriate goal-conditioned trajectories, we demonstrate that a robot model is able to generate diverse motions. We evaluate the proposed method on a bipedal inverted pendulum robot model and confirm that combining goal-conditioned terminal value learning with an upper-level trajectory planner enables real-time control; thus, the robot successfully tracks a target trajectory on sloped terrain.




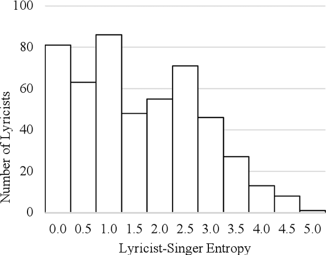
Abstract:Although lyrics represent an essential component of music, few music information processing studies have been conducted on the characteristics of lyricists. Because these characteristics may be valuable for musical applications, such as recommendations, they warrant further study. We considered a potential method that extracts features representing the characteristics of lyricists from lyrics. Because these features must be identified prior to extraction, we focused on lyricists with easily identifiable features. We believe that it is desirable for singers to perform unique songs that share certain characteristics specific to the singer. Accordingly, we hypothesized that lyricists account for the unique characteristics of the singers they write lyrics for. In other words, lyric-lyricist classification performance or the ease of capturing the features of a lyricist from the lyrics may depend on the variety of singers. In this study, we observed a relationship between lyricist-singer entropy or the variety of singers associated with a single lyricist and lyric-lyricist classification performance. As an example, the lyricist-singer entropy is minimal when the lyricist writes lyrics for only one singer. In our experiments, we grouped lyricists among five groups in terms of lyricist-singer entropy and assessed the lyric-lyricist classification performance within each group. Consequently, the best F1 score was obtained for the group with the lowest lyricist-singer entropy. Our results suggest that further analyses of the features contributing to lyric-lyricist classification performance on the lowest lyricist-singer entropy group may improve the feature extraction task for lyricists.




Abstract:This paper introduces an elasticity reconstruction method based on local displacement observations of elastic bodies. Sparse reconstruction theory is applied to formulate the underdetermined inverse problems of elasticity reconstruction including unobserved areas. An online local clustering scheme called a superelement is proposed to reduce the number of dimensions of the optimization parameters. Alternating the optimization of element boundaries and elasticity parameters enables the elasticity distribution to be estimated with a higher spatial resolution. The simulation experiments show that elasticity distribution is reconstructed based on observations of approximately 10% of the total body. The estimation error was improved when considering the sparseness of the elasticity distribution.