



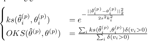
Abstract:We address the problem of 3D human pose estimation from 2D input images using only weakly supervised training data. Despite showing considerable success for 2D pose estimation, the application of supervised machine learning to 3D pose estimation in real world images is currently hampered by the lack of varied training images with corresponding 3D poses. Most existing 3D pose estimation algorithms train on data that has either been collected in carefully controlled studio settings or has been generated synthetically. Instead, we take a different approach, and propose a 3D human pose estimation algorithm that only requires relative estimates of depth at training time. Such training signal, although noisy, can be easily collected from crowd annotators, and is of sufficient quality for enabling successful training and evaluation of 3D pose algorithms. Our results are competitive with fully supervised regression based approaches on the Human3.6M dataset, despite using significantly weaker training data. Our proposed algorithm opens the door to using existing widespread 2D datasets for 3D pose estimation by allowing fine-tuning with noisy relative constraints, resulting in more accurate 3D poses.




Abstract:We propose a new method to analyze the impact of errors in algorithms for multi-instance pose estimation and a principled benchmark that can be used to compare them. We define and characterize three classes of errors - localization, scoring, and background - study how they are influenced by instance attributes and their impact on an algorithm's performance. Our technique is applied to compare the two leading methods for human pose estimation on the COCO Dataset, measure the sensitivity of pose estimation with respect to instance size, type and number of visible keypoints, clutter due to multiple instances, and the relative score of instances. The performance of algorithms, and the types of error they make, are highly dependent on all these variables, but mostly on the number of keypoints and the clutter. The analysis and software tools we propose offer a novel and insightful approach for understanding the behavior of pose estimation algorithms and an effective method for measuring their strengths and weaknesses.




Abstract:We tackle the problem of learning a rotation invariant latent factor model when the training data is comprised of lower-dimensional projections of the original feature space. The main goal is the discovery of a set of 3-D bases poses that can characterize the manifold of primitive human motions, or movemes, from a training set of 2-D projected poses obtained from still images taken at various camera angles. The proposed technique for basis discovery is data-driven rather than hand-designed. The learned representation is rotation invariant, and can reconstruct any training instance from multiple viewing angles. We apply our method to modeling human poses in sports (via the Leeds Sports Dataset), and demonstrate the effectiveness of the learned bases in a range of applications such as activity classification, inference of dynamics from a single frame, and synthetic representation of movements.




Abstract:Which common human actions and interactions are recognizable in monocular still images? Which involve objects and/or other people? How many is a person performing at a time? We address these questions by exploring the actions and interactions that are detectable in the images of the MS COCO dataset. We make two main contributions. First, a list of 140 common `visual actions', obtained by analyzing the largest on-line verb lexicon currently available for English (VerbNet) and human sentences used to describe images in MS COCO. Second, a complete set of annotations for those `visual actions', composed of subject-object and associated verb, which we call COCO-a (a for `actions'). COCO-a is larger than existing action datasets in terms of number of actions and instances of these actions, and is unique because it is data-driven, rather than experimenter-biased. Other unique features are that it is exhaustive, and that all subjects and objects are localized. A statistical analysis of the accuracy of our annotations and of each action, interaction and subject-object combination is provided.