University of Graz
Abstract:This paper addresses the problem of learning reaction-diffusion (RD) systems from data while ensuring physical consistency and well-posedness of the learned models. Building on a regularization-based framework for structured model learning, we focus on learning parameterized reaction terms and investigate how to incorporate key physical properties, such as mass conservation and quasipositivity, directly into the learning process. Our main contributions are twofold: First, we propose techniques to systematically modify a given class of parameterized reaction terms such that the resulting terms inherently satisfy mass conservation and quasipositivity, ensuring that the learned RD systems preserve non-negativity and adhere to physical principles. These modifications also guarantee well-posedness of the resulting PDEs under additional regularity and growth conditions. Second, we extend existing theoretical results on regularization-based model learning to RD systems using these physically consistent reaction terms. Specifically, we prove that solutions to the learning problem converge to a unique, regularization-minimizing solution of a limit system even when conservation laws and quasipositivity are enforced. In addition, we provide approximation results for quasipositive functions, essential for constructing physically consistent parameterizations. These results advance the development of interpretable and reliable data-driven models for RD systems that align with fundamental physical laws.
Abstract:We show that suitably regular functions can be approximated in the $\mathcal{C}^1$-norm both with rational functions and rational neural networks, including approximation rates with respect to width and depth of the network, and degree of the rational functions. As consequence of our results, we further obtain $\mathcal{C}^1$-approximation results for rational neural networks with the $\text{EQL}^\div$ and ParFam architecture, both of which are important in particular in the context of symbolic regression for physical law learning.
Abstract:In this chapter we provide a thorough overview of the use of energy-based models (EBMs) in the context of inverse imaging problems. EBMs are probability distributions modeled via Gibbs densities $p(x) \propto \exp{-E(x)}$ with an appropriate energy functional $E$. Within this chapter we present a rigorous theoretical introduction to Bayesian inverse problems that includes results on well-posedness and stability in the finite-dimensional and infinite-dimensional setting. Afterwards we discuss the use of EBMs for Bayesian inverse problems and explain the most relevant techniques for learning EBMs from data. As a crucial part of Bayesian inverse problems, we cover several popular algorithms for sampling from EBMs, namely the Metropolis-Hastings algorithm, Gibbs sampling, Langevin Monte Carlo, and Hamiltonian Monte Carlo. Moreover, we present numerical results for the resolution of several inverse imaging problems obtained by leveraging an EBM that allows for the explicit verification of those properties that are needed for valid energy-based modeling.
Abstract:Most machine learning-based image segmentation models produce pixel-wise confidence scores - typically derived from softmax outputs - that represent the model's predicted probability for each class label at every pixel. While this information can be particularly valuable in high-stakes domains such as medical imaging, these (uncalibrated) scores are heuristic in nature and do not constitute rigorous quantitative uncertainty estimates. Conformal prediction (CP) provides a principled framework for transforming heuristic confidence scores into statistically valid uncertainty estimates. However, applying CP directly to image segmentation ignores the spatial correlations between pixels, a fundamental characteristic of image data. This can result in overly conservative and less interpretable uncertainty estimates. To address this, we propose CONSIGN (Conformal Segmentation Informed by Spatial Groupings via Decomposition), a CP-based method that incorporates spatial correlations to improve uncertainty quantification in image segmentation. Our method generates meaningful prediction sets that come with user-specified, high-probability error guarantees. It is compatible with any pre-trained segmentation model capable of generating multiple sample outputs - such as those using dropout, Bayesian modeling, or ensembles. We evaluate CONSIGN against a standard pixel-wise CP approach across three medical imaging datasets and two COCO dataset subsets, using three different pre-trained segmentation models. Results demonstrate that accounting for spatial structure significantly improves performance across multiple metrics and enhances the quality of uncertainty estimates.
Abstract:Segmentation of cardiac magnetic resonance images (MRI) is crucial for the analysis and assessment of cardiac function, helping to diagnose and treat various cardiovascular diseases. Most recent techniques rely on deep learning and usually require an extensive amount of labeled data. To overcome this problem, few-shot learning has the capability of reducing data dependency on labeled data. In this work, we introduce a new method that merges few-shot learning with a U-Net architecture and Gaussian Process Emulators (GPEs), enhancing data integration from a support set for improved performance. GPEs are trained to learn the relation between the support images and the corresponding masks in latent space, facilitating the segmentation of unseen query images given only a small labeled support set at inference. We test our model with the M&Ms-2 public dataset to assess its ability to segment the heart in cardiac magnetic resonance imaging from different orientations, and compare it with state-of-the-art unsupervised and few-shot methods. Our architecture shows higher DICE coefficients compared to these methods, especially in the more challenging setups where the size of the support set is considerably small.
Abstract:This paper addresses the problem of uniqueness in learning physical laws for systems of partial differential equations (PDEs). Contrary to most existing approaches, it considers a framework of structured model learning, where existing, approximately correct physical models are augmented with components that are learned from data. The main result of the paper is a uniqueness result that covers a large class of PDEs and a suitable class of neural networks used for approximating the unknown model components. The uniqueness result shows that, in the idealized setting of full, noiseless measurements, a unique identification of the unknown model components is possible as regularization-minimizing solution of the PDE system. Furthermore, the paper provides a convergence result showing that model components learned on the basis of incomplete, noisy measurements approximate the ground truth model component in the limit. These results are possible under specific properties of the approximating neural networks and due to a dedicated choice of regularization. With this, a practical contribution of this analytic paper is to provide a class of model learning frameworks different to standard settings where uniqueness can be expected in the limit of full measurements.




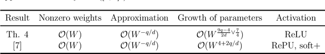
Abstract:This work focuses on the analysis of fully connected feed forward ReLU neural networks as they approximate a given, smooth function. In contrast to conventionally studied universal approximation properties under increasing architectures, e.g., in terms of width or depth of the networks, we are concerned with the asymptotic growth of the parameters of approximating networks. Such results are of interest, e.g., for error analysis or consistency results for neural network training. The main result of our work is that, for a ReLU architecture with state of the art approximation error, the realizing parameters grow at most polynomially. The obtained rate with respect to a normalized network size is compared to existing results and is shown to be superior in most cases, in particular for high dimensional input.
Abstract:This review provides an introduction to - and overview of - the current state of the art in neural-network based regularization methods for inverse problems in imaging. It aims to introduce readers with a solid knowledge in applied mathematics and a basic understanding of neural networks to different concepts of applying neural networks for regularizing inverse problems in imaging. Distinguishing features of this review are, among others, an easily accessible introduction to learned generators and learned priors, in particular diffusion models, for inverse problems, and a section focusing explicitly on existing results in function space analysis of neural-network-based approaches in this context.
Abstract:In this work, a method for obtaining pixel-wise error bounds in Bayesian regularization of inverse imaging problems is introduced. The proposed method employs estimates of the posterior variance together with techniques from conformal prediction in order to obtain coverage guarantees for the error bounds, without making any assumption on the underlying data distribution. It is generally applicable to Bayesian regularization approaches, independent, e.g., of the concrete choice of the prior. Furthermore, the coverage guarantees can also be obtained in case only approximate sampling from the posterior is possible. With this in particular, the proposed framework is able to incorporate any learned prior in a black-box manner. Guaranteed coverage without assumptions on the underlying distributions is only achievable since the magnitude of the error bounds is, in general, unknown in advance. Nevertheless, experiments with multiple regularization approaches presented in the paper confirm that in practice, the obtained error bounds are rather tight. For realizing the numerical experiments, also a novel primal-dual Langevin algorithm for sampling from non-smooth distributions is introduced in this work.




Abstract:In this work, a method for unsupervised energy disaggregation in private households equipped with smart meters is proposed. This method aims to classify power consumption as active or passive, granting the ability to report on the residents' activity and presence without direct interaction. This lays the foundation for applications like non-intrusive health monitoring of private homes. The proposed method is based on minimizing a suitable energy functional, for which the iPALM (inertial proximal alternating linearized minimization) algorithm is employed, demonstrating that various conditions guaranteeing convergence are satisfied. In order to confirm feasibility of the proposed method, experiments on semi-synthetic test data sets and a comparison to existing, supervised methods are provided.