



Abstract:Traditional AI approaches in customized (personalized) contextual pricing applications assume that the data distribution at the time of online pricing is similar to that observed during training. However, this assumption may be violated in practice because of the dynamic nature of customer buying patterns, particularly due to unanticipated system shocks such as COVID-19. We study the changes in customer behavior for a major airline during the COVID-19 pandemic by framing it as a covariate shift and concept drift detection problem. We identify which customers changed their travel and purchase behavior and the attributes affecting that change using (i) Fast Generalized Subset Scanning and (ii) Causal Forests. In our experiments with simulated and real-world data, we present how these two techniques can be used through qualitative analysis.





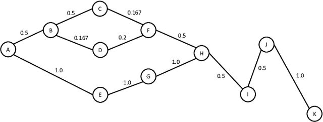
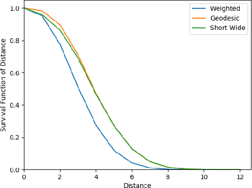
Abstract:Network flow is a powerful mathematical framework to systematically explore the relationship between structure and function in biological, social, and technological networks. We introduce a new pipelining model of flow through networks where commodities must be transported over single paths rather than split over several paths and recombined. We show this notion of pipelined network flow is optimized using network paths that are both short and wide, and develop efficient algorithms to compute such paths for given pairs of nodes and for all-pairs. Short and wide paths are characterized for many real-world networks. To further demonstrate the utility of this network characterization, we develop novel information-theoretic lower bounds on computation speed in nervous systems due to limitations from anatomical connectivity and physical noise. For the nematode Caenorhabditis elegans, we find these bounds are predictive of biological timescales of behavior. Further, we find the particular C. elegans connectome is globally less efficient for information flow than random networks, but the hub-and-spoke architecture of functional subcircuits is optimal under constraint on number of synapses. This suggests functional subcircuits are a primary organizational principle of this small invertebrate nervous system.





Abstract:Comparison between the previous method and proposed method TBU.





Abstract:Multiple machine learning and prediction models are often used for the same prediction or recommendation task. In our recent work, where we develop and deploy airline ancillary pricing models in an online setting, we found that among multiple pricing models developed, no one model clearly dominates other models for all incoming customer requests. Thus, as algorithm designers, we face an exploration - exploitation dilemma. In this work, we introduce an adaptive meta-decision framework that uses Thompson sampling, a popular multi-armed bandit solution method, to route customer requests to various pricing models based on their online performance. We show that this adaptive approach outperform a uniformly random selection policy by improving the expected revenue per offer by 43% and conversion score by 58% in an offline simulation.





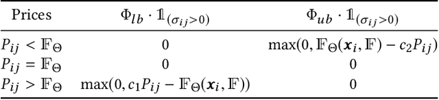
Abstract:Ancillaries have become a major source of revenue and profitability in the travel industry. Yet, conventional pricing strategies are based on business rules that are poorly optimized and do not respond to changing market conditions. This paper describes the dynamic pricing model developed by Deepair solutions, an AI technology provider for travel suppliers. We present a pricing model that provides dynamic pricing recommendations specific to each customer interaction and optimizes expected revenue per customer. The unique nature of personalized pricing provides the opportunity to search over the market space to find the optimal price-point of each ancillary for each customer, without violating customer privacy. In this paper, we present and compare three approaches for dynamic pricing of ancillaries, with increasing levels of sophistication: (1) a two-stage forecasting and optimization model using a logistic mapping function; (2) a two-stage model that uses a deep neural network for forecasting, coupled with a revenue maximization technique using discrete exhaustive search; (3) a single-stage end-to-end deep neural network that recommends the optimal price. We describe the performance of these models based on both offline and online evaluations. We also measure the real-world business impact of these approaches by deploying them in an A/B test on an airline's internet booking website. We show that traditional machine learning techniques outperform human rule-based approaches in an online setting by improving conversion by 36% and revenue per offer by 10%. We also provide results for our offline experiments which show that deep learning algorithms outperform traditional machine learning techniques for this problem. Our end-to-end deep learning model is currently being deployed by the airline in their booking system.
