Abstract:Recent advancements in Graph Contrastive Learning (GCL) have demonstrated remarkable effectiveness in improving graph representations. However, relying on predefined augmentations (e.g., node dropping, edge perturbation, attribute masking) may result in the loss of task-relevant information and a lack of adaptability to diverse input data. Furthermore, the selection of negative samples remains rarely explored. In this paper, we introduce HyperGCL, a novel multimodal GCL framework from a hypergraph perspective. HyperGCL constructs three distinct hypergraph views by jointly utilizing the input graph's structure and attributes, enabling a comprehensive integration of multiple modalities in contrastive learning. A learnable adaptive topology augmentation technique enhances these views by preserving important relations and filtering out noise. View-specific encoders capture essential characteristics from each view, while a network-aware contrastive loss leverages the underlying topology to define positive and negative samples effectively. Extensive experiments on benchmark datasets demonstrate that HyperGCL achieves state-of-the-art node classification performance.




Abstract:Graph Neural Network (GNN) achieves great success for node-level and graph-level tasks via encoding meaningful topological structures of networks in various domains, ranging from social to biological networks. However, repeated aggregation operations lead to excessive mixing of node representations, particularly in dense regions with multiple GNN layers, resulting in nearly indistinguishable embeddings. This phenomenon leads to the oversmoothing problem that hampers downstream graph analytics tasks. To overcome this issue, we propose a novel and flexible truss-based graph sparsification model that prunes edges from dense regions of the graph. Pruning redundant edges in dense regions helps to prevent the aggregation of excessive neighborhood information during hierarchical message passing and pooling in GNN models. We then utilize our sparsification model in the state-of-the-art baseline GNNs and pooling models, such as GIN, SAGPool, GMT, DiffPool, MinCutPool, HGP-SL, DMonPool, and AdamGNN. Extensive experiments on different real-world datasets show that our model significantly improves the performance of the baseline GNN models in the graph classification task.




Abstract:Modeling the interactions between drugs, targets, and diseases is paramount in drug discovery and has significant implications for precision medicine and personalized treatments. Current approaches frequently consider drug-target or drug-disease interactions individually, ignoring the interdependencies among all three entities. Within human metabolic systems, drugs interact with protein targets in cells, influencing target activities and subsequently impacting biological pathways to promote healthy functions and treat diseases. Moving beyond binary relationships and exploring tighter triple relationships is essential to understanding drugs' mechanism of action (MoAs). Moreover, identifying the heterogeneity of drugs, targets, and diseases, along with their distinct characteristics, is critical to model these complex interactions appropriately. To address these challenges, we effectively model the interconnectedness of all entities in a heterogeneous graph and develop a novel Heterogeneous Graph Triplet Attention Network (\texttt{HeTriNet}). \texttt{HeTriNet} introduces a novel triplet attention mechanism within this heterogeneous graph structure. Beyond pairwise attention as the importance of an entity for the other one, we define triplet attention to model the importance of pairs for entities in the drug-target-disease triplet prediction problem. Experimental results on real-world datasets show that \texttt{HeTriNet} outperforms several baselines, demonstrating its remarkable proficiency in uncovering novel drug-target-disease relationships.




Abstract:Hypergraphs, with their capacity to depict high-order relationships, have emerged as a significant extension of traditional graphs. Although Graph Neural Networks (GNNs) have remarkable performance in graph representation learning, their extension to hypergraphs encounters challenges due to their intricate structures. Furthermore, current hypergraph transformers, a special variant of GNN, utilize semantic feature-based self-attention, ignoring topological attributes of nodes and hyperedges. To address these challenges, we propose a Topology-guided Hypergraph Transformer Network (THTN). In this model, we first formulate a hypergraph from a graph while retaining its structural essence to learn higher-order relations within the graph. Then, we design a simple yet effective structural and spatial encoding module to incorporate the topological and spatial information of the nodes into their representation. Further, we present a structure-aware self-attention mechanism that discovers the important nodes and hyperedges from both semantic and structural viewpoints. By leveraging these two modules, THTN crafts an improved node representation, capturing both local and global topological expressions. Extensive experiments conducted on node classification tasks demonstrate that the performance of the proposed model consistently exceeds that of the existing approaches.




Abstract:Sequence classification has a wide range of real-world applications in different domains, such as genome classification in health and anomaly detection in business. However, the lack of explicit features in sequence data makes it difficult for machine learning models. While Neural Network (NN) models address this with learning features automatically, they are limited to capturing adjacent structural connections and ignore global, higher-order information between the sequences. To address these challenges in the sequence classification problems, we propose a novel Hypergraph Attention Network model, namely Seq-HyGAN. To capture the complex structural similarity between sequence data, we first create a hypergraph where the sequences are depicted as hyperedges and subsequences extracted from sequences are depicted as nodes. Additionally, we introduce an attention-based Hypergraph Neural Network model that utilizes a two-level attention mechanism. This model generates a sequence representation as a hyperedge while simultaneously learning the crucial subsequences for each sequence. We conduct extensive experiments on four data sets to assess and compare our model with several state-of-the-art methods. Experimental results demonstrate that our proposed Seq-HyGAN model can effectively classify sequence data and significantly outperform the baselines. We also conduct case studies to investigate the contribution of each module in Seq-HyGAN.




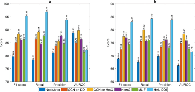
Abstract:Polypharmacy, defined as the use of multiple drugs together, is a standard treatment method, especially for severe and chronic diseases. However, using multiple drugs together may cause interactions between drugs. Drug-drug interaction (DDI) is the activity that occurs when the impact of one drug changes when combined with another. DDIs may obstruct, increase, or decrease the intended effect of either drug or, in the worst-case scenario, create adverse side effects. While it is critical to detect DDIs on time, it is timeconsuming and expensive to identify them in clinical trials due to their short duration and many possible drug pairs to be considered for testing. As a result, computational methods are needed for predicting DDIs. In this paper, we present a novel heterogeneous graph attention model, HAN-DDI to predict drug-drug interactions. We create a heterogeneous network of drugs with different biological entities. Then, we develop a heterogeneous graph attention network to learn DDIs using relations of drugs with other entities. It consists of an attention-based heterogeneous graph node encoder for obtaining drug node representations and a decoder for predicting drug-drug interactions. Further, we utilize comprehensive experiments to evaluate of our model and to compare it with state-of-the-art models. Experimental results show that our proposed method, HAN-DDI, outperforms the baselines significantly and accurately predicts DDIs, even for new drugs.




Abstract:Drug-Drug Interactions (DDIs) may hamper the functionalities of drugs, and in the worst scenario, they may lead to adverse drug reactions (ADRs). Predicting all DDIs is a challenging and critical problem. Most existing computational models integrate drug-centric information from different sources and leverage them as features in machine learning classifiers to predict DDIs. However, these models have a high chance of failure, especially for the new drugs when all the information is not available. This paper proposes a novel Hypergraph Neural Network (HyGNN) model based on only the SMILES string of drugs, available for any drug, for the DDI prediction problem. To capture the drug similarities, we create a hypergraph from drugs' chemical substructures extracted from the SMILES strings. Then, we develop HyGNN consisting of a novel attention-based hypergraph edge encoder to get the representation of drugs as hyperedges and a decoder to predict the interactions between drug pairs. Furthermore, we conduct extensive experiments to evaluate our model and compare it with several state-of-the-art methods. Experimental results demonstrate that our proposed HyGNN model effectively predicts DDIs and impressively outperforms the baselines with a maximum ROC-AUC and PR-AUC of 97.9% and 98.1%, respectively.