



Abstract:The emerging in-context learning (ICL) ability of large language models (LLMs) has prompted their use for predictive tasks in various domains with different types of data facilitated by serialization methods. However, with increasing applications in high-stakes domains, it has been shown that LLMs can inherit social bias and discrimination from their pre-training data. In this work, we investigate this inherent bias in LLMs during in-context learning with tabular data. We focus on an optimal demonstration selection approach that utilizes latent concept variables for resource-efficient task adaptation. We design data augmentation strategies that reduce correlation between predictive outcomes and sensitive variables helping to promote fairness during latent concept learning. We utilize the learned concept and select demonstrations from a training dataset to obtain fair predictions during inference while maintaining model utility. The latent concept variable is learned using a smaller internal LLM and the selected demonstrations can be used for inference with larger external LLMs. We empirically verify that the fair latent variable approach improves fairness results on tabular datasets compared to multiple heuristic demonstration selection methods.




Abstract:The widespread popularity of Large Language Models (LLMs), partly due to their unique ability to perform in-context learning, has also brought to light the importance of ethical and safety considerations when deploying these pre-trained models. In this work, we focus on investigating machine unlearning for LLMs motivated by data protection regulations. In contrast to the growing literature on fine-tuning methods to achieve unlearning, we focus on a comparatively lightweight alternative called soft prompting to realize the unlearning of a subset of training data. With losses designed to enforce forgetting as well as utility preservation, our framework \textbf{S}oft \textbf{P}rompting for \textbf{U}n\textbf{l}earning (SPUL) learns prompt tokens that can be appended to an arbitrary query to induce unlearning of specific examples at inference time without updating LLM parameters. We conduct a rigorous evaluation of the proposed method and our results indicate that SPUL can significantly improve the trade-off between utility and forgetting in the context of text classification with LLMs. We further validate our method using multiple LLMs to highlight the scalability of our framework and provide detailed insights into the choice of hyperparameters and the influence of the size of unlearning data. Our implementation is available at \url{https://github.com/karuna-bhaila/llm_unlearning}.




Abstract:In-context learning (ICL) enables large language models (LLMs) to adapt to new tasks by conditioning on demonstrations of question-answer pairs and it has been shown to have comparable performance to costly model retraining and fine-tuning. Recently, ICL has been extended to allow tabular data to be used as demonstration examples by serializing individual records into natural language formats. However, it has been shown that LLMs can leak information contained in prompts, and since tabular data often contain sensitive information, understanding how to protect the underlying tabular data used in ICL is a critical area of research. This work serves as an initial investigation into how to use differential privacy (DP) -- the long-established gold standard for data privacy and anonymization -- to protect tabular data used in ICL. Specifically, we investigate the application of DP mechanisms for private tabular ICL via data privatization prior to serialization and prompting. We formulate two private ICL frameworks with provable privacy guarantees in both the local (LDP-TabICL) and global (GDP-TabICL) DP scenarios via injecting noise into individual records or group statistics, respectively. We evaluate our DP-based frameworks on eight real-world tabular datasets and across multiple ICL and DP settings. Our evaluations show that DP-based ICL can protect the privacy of the underlying tabular data while achieving comparable performance to non-LLM baselines, especially under high privacy regimes.




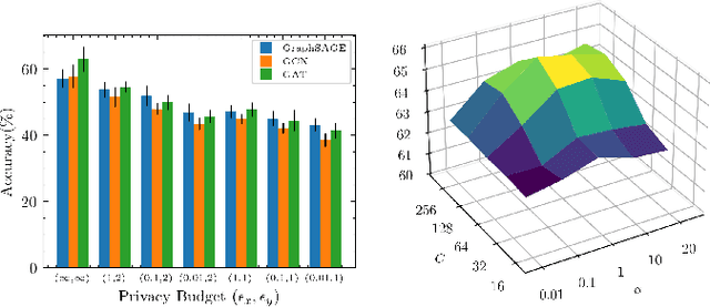
Abstract:Graph Neural Networks have achieved tremendous success in modeling complex graph data in a variety of applications. However, there are limited studies investigating privacy protection in GNNs. In this work, we propose a learning framework that can provide node privacy at the user level, while incurring low utility loss. We focus on a decentralized notion of Differential Privacy, namely Local Differential Privacy, and apply randomization mechanisms to perturb both feature and label data at the node level before the data is collected by a central server for model training. Specifically, we investigate the application of randomization mechanisms in high-dimensional feature settings and propose an LDP protocol with strict privacy guarantees. Based on frequency estimation in statistical analysis of randomized data, we develop reconstruction methods to approximate features and labels from perturbed data. We also formulate this learning framework to utilize frequency estimates of graph clusters to supervise the training procedure at a sub-graph level. Extensive experiments on real-world and semi-synthetic datasets demonstrate the validity of our proposed model.