


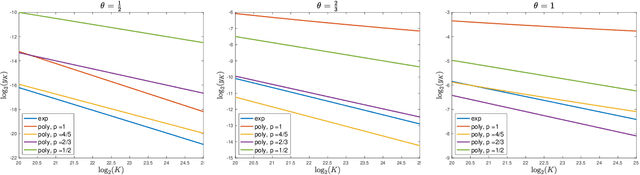
Abstract:Chung's lemma is a classical tool for establishing asymptotic convergence rates of (stochastic) optimization methods under strong convexity-type assumptions and appropriate polynomial diminishing step sizes. In this work, we develop a generalized version of Chung's lemma, which provides a simple non-asymptotic convergence framework for a more general family of step size rules. We demonstrate broad applicability of the proposed generalized Chung's lemma by deriving tight non-asymptotic convergence rates for a large variety of stochastic methods. In particular, we obtain partially new non-asymptotic complexity results for stochastic optimization methods, such as stochastic gradient descent and random reshuffling, under a general $(\theta,\mu)$-Polyak-Lojasiewicz (PL) condition and for various step sizes strategies, including polynomial, constant, exponential, and cosine step sizes rules. Notably, as a by-product of our analysis, we observe that exponential step sizes can adapt to the objective function's geometry, achieving the optimal convergence rate without requiring exact knowledge of the underlying landscape. Our results demonstrate that the developed variant of Chung's lemma offers a versatile, systematic, and streamlined approach to establish non-asymptotic convergence rates under general step size rules.
Abstract:We propose a novel analysis framework for non-descent-type optimization methodologies in nonconvex scenarios based on the Kurdyka-Lojasiewicz property. Our framework allows covering a broad class of algorithms, including those commonly employed in stochastic and distributed optimization. Specifically, it enables the analysis of first-order methods that lack a sufficient descent property and do not require access to full (deterministic) gradient information. We leverage this framework to establish, for the first time, iterate convergence and the corresponding rates for the decentralized gradient method and federated averaging under mild assumptions. Furthermore, based on the new analysis techniques, we show the convergence of the random reshuffling and stochastic gradient descent method without necessitating typical a priori bounded iterates assumptions.




Abstract:We propose a novel time window-based analysis technique to investigate the convergence behavior of the stochastic gradient descent method with momentum (SGDM) in nonconvex settings. Despite its popularity, the convergence behavior of SGDM remains less understood in nonconvex scenarios. This is primarily due to the absence of a sufficient descent property and challenges in controlling stochastic errors in an almost sure sense. To address these challenges, we study the behavior of SGDM over specific time windows, rather than examining the descent of consecutive iterates as in traditional analyses. This time window-based approach simplifies the convergence analysis and enables us to establish the first iterate convergence result for SGDM under the Kurdyka-Lojasiewicz (KL) property. Based on the underlying KL exponent and the utilized step size scheme, we further characterize local convergence rates of SGDM.




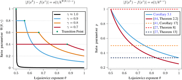
Abstract:In this work, we propose and study a novel stochastic optimization algorithm, termed the normal map-based proximal random reshuffling (norm-PRR) method, for nonsmooth nonconvex finite-sum problems. Random reshuffling techniques are prevalent and widely utilized in large-scale applications, e.g., in the training of neural networks. While the convergence behavior and advantageous acceleration effects of random reshuffling methods are fairly well understood in the smooth setting, much less seems to be known in the nonsmooth case and only few proximal-type random reshuffling approaches with provable guarantees exist. We establish the iteration complexity ${\cal O}(n^{-1/3}T^{-2/3})$ for norm-PRR, where $n$ is the number of component functions and $T$ counts the total number of iteration. We also provide novel asymptotic convergence results for norm-PRR. Specifically, under the Kurdyka-{\L}ojasiewicz (KL) inequality, we establish strong limit-point convergence, i.e., the iterates generated by norm-PRR converge to a single stationary point. Moreover, we derive last iterate convergence rates of the form ${\cal O}(k^{-p})$; here, $p \in [0, 1]$ depends on the KL exponent $\theta \in [0,1)$ and step size dynamics. Finally, we present preliminary numerical results on machine learning problems that demonstrate the efficiency of the proposed method.
Abstract:In this paper, we present a novel stochastic normal map-based algorithm ($\mathsf{norM}\text{-}\mathsf{SGD}$) for nonconvex composite-type optimization problems and discuss its convergence properties. Using a time window-based strategy, we first analyze the global convergence behavior of $\mathsf{norM}\text{-}\mathsf{SGD}$ and it is shown that every accumulation point of the generated sequence of iterates $\{\boldsymbol{x}^k\}_k$ corresponds to a stationary point almost surely and in an expectation sense. The obtained results hold under standard assumptions and extend the more limited convergence guarantees of the basic proximal stochastic gradient method. In addition, based on the well-known Kurdyka-{\L}ojasiewicz (KL) analysis framework, we provide novel point-wise convergence results for the iterates $\{\boldsymbol{x}^k\}_k$ and derive convergence rates that depend on the underlying KL exponent $\boldsymbol{\theta}$ and the step size dynamics $\{\alpha_k\}_k$. Specifically, for the popular step size scheme $\alpha_k=\mathcal{O}(1/k^\gamma)$, $\gamma \in (\frac23,1]$, (almost sure) rates of the form $\|\boldsymbol{x}^k-\boldsymbol{x}^*\| = \mathcal{O}(1/k^p)$, $p \in (0,\frac12)$, can be established. The obtained rates are faster than related and existing convergence rates for $\mathsf{SGD}$ and improve on the non-asymptotic complexity bounds for $\mathsf{norM}\text{-}\mathsf{SGD}$.



Abstract:In this paper, we consider the distributed optimization problem where $n$ agents, each possessing a local cost function, collaboratively minimize the average of the local cost functions over a connected network. To solve the problem, we propose a distributed random reshuffling (D-RR) algorithm that combines the classical distributed gradient descent (DGD) method and Random Reshuffling (RR). We show that D-RR inherits the superiority of RR for both smooth strongly convex and smooth nonconvex objective functions. In particular, for smooth strongly convex objective functions, D-RR achieves $\mathcal{O}(1/T^2)$ rate of convergence (here, $T$ counts the total number of iterations) in terms of the squared distance between the iterate and the unique minimizer. When the objective function is assumed to be smooth nonconvex and has Lipschitz continuous component functions, we show that D-RR drives the squared norm of gradient to $0$ at a rate of $\mathcal{O}(1/T^{2/3})$. These convergence results match those of centralized RR (up to constant factors).

Abstract:We study the random reshuffling (RR) method for smooth nonconvex optimization problems with a finite-sum structure. Though this method is widely utilized in practice such as the training of neural networks, its convergence behavior is only understood in several limited settings. In this paper, under the well-known Kurdyka-Lojasiewicz (KL) inequality, we establish strong limit-point convergence results for RR with appropriate diminishing step sizes, namely, the whole sequence of iterates generated by RR is convergent and converges to a single stationary point in an almost sure sense. In addition, we derive the corresponding rate of convergence, depending on the KL exponent and the suitably selected diminishing step sizes. When the KL exponent lies in $[0,\frac12]$, the convergence is at a rate of $\mathcal{O}(t^{-1})$ with $t$ counting the iteration number. When the KL exponent belongs to $(\frac12,1)$, our derived convergence rate is of the form $\mathcal{O}(t^{-q})$ with $q\in (0,1)$ depending on the KL exponent. The standard KL inequality-based convergence analysis framework only applies to algorithms with a certain descent property. Remarkably, we conduct convergence analysis for the non-descent RR with diminishing step sizes based on the KL inequality, which generalizes the standard KL analysis framework. We summarize our main steps and core ideas in an analysis framework, which is of independent interest. As a direct application of this framework, we also establish similar strong limit-point convergence results for the shuffled proximal point method.