


Abstract:We present a user-friendly interface to teleoperate a soft robot manipulator in a complex environment. Key components of the system include a manipulator with a grasping end-effector that grows via tip eversion, gesture-based control, and haptic display to the operator for feedback and guidance. In the initial work, the operator uses the soft robot to build a tower of blocks, and future works will extend this to shared autonomy scenarios in which the human operator and robot intelligence are both necessary for task completion.




Abstract:The current generation of surgeons requires extensive training in teleoperation to develop specific dexterous skills, which are independent of medical knowledge. Training curricula progress from manipulation tasks to simulated surgical tasks but are limited in time. To tackle this, we propose to integrate surgical robotic training together with Haptic Feedback (HF) to improve skill acquisition. This paper present the initial but promising results of our haptic device designed to support in the training of surgical gestures. Our ongoing work is related to integrate the HF in the RAVEN II platform.




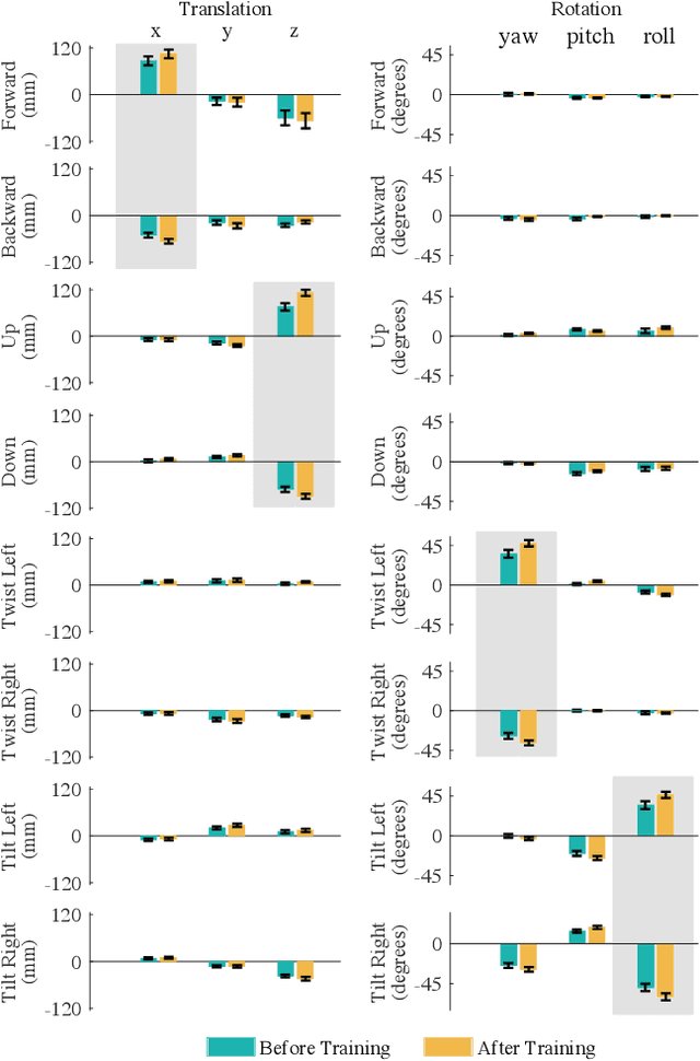
Abstract:Hand-held haptic devices can allow for greater freedom of motion and larger workspaces than traditional grounded haptic devices. They can also provide more compelling haptic sensations to the users' fingertips than many wearable haptic devices because reaction forces can be distributed over a larger area of skin far away from the stimulation site. This paper presents a hand-held kinesthetic gripper that provides guidance cues in four degrees of freedom (DOF). 2-DOF tangential forces on the thumb and index finger combine to create cues to translate or rotate the hand. We demonstrate the device's capabilities in a three-part user study. First, users moved their hands in response to haptic cues before receiving instruction or training. Then, they trained on cues in eight directions in a forced-choice task. Finally, they repeated the first part, now knowing what each cue intended to convey. Users were able to discriminate each cue over 90% of the time. Users moved correctly in response to the guidance cues both before and after the training and indicated that the cues were easy to follow. The results show promise for holdable kinesthetic devices in haptic feedback and guidance for applications such as virtual reality, medical training, and teleoperation.