



Abstract:The Maximum Linear Arrangement problem (MaxLA) consists of finding a mapping $\pi$ from the $n$ vertices of a graph $G$ to distinct consecutive integers that maximizes $D_{\pi}(G)=\sum_{uv\in E(G)}|\pi(u) - \pi(v)|$. In this setting, vertices are considered to lie on a horizontal line and edges are drawn as semicircles above the line. There exist variants of MaxLA in which the arrangements are constrained. In the planar variant edge crossings are forbidden. In the projective variant for rooted trees arrangements are planar and the root cannot be covered by any edge. Here we present $O(n)$-time and $O(n)$-space algorithms that solve Planar and Projective MaxLA for trees. We also prove several properties of maximum projective and planar arrangements.




Abstract:The new and growing field of Quantitative Dependency Syntax has emerged at the crossroads between Dependency Syntax and Quantitative Linguistics. One of the main concerns in this field is the statistical patterns of syntactic dependency structures. These structures, grouped in treebanks, are the source for statistical analyses in these and related areas; dozens of scores devised over the years are the tools of a new industry to search for patterns and perform other sorts of analyses. The plethora of such metrics and their increasing complexity require sharing the source code of the programs used to perform such analyses. However, such code is not often shared with the scientific community or is tested following unknown standards. Here we present a new open-source tool, the Linear Arrangement Library (LAL), which caters to the needs of, especially, inexperienced programmers. This tool enables the calculation of these metrics on single syntactic dependency structures, treebanks, and collection of treebanks, grounded on ease of use and yet with great flexibility. LAL has been designed to be efficient, easy to use (while satisfying the needs of all levels of programming expertise), reliable (thanks to thorough testing), and to unite research from different traditions, geographic areas, and research fields.



Abstract:The minimum linear arrangement problem (MLA) consists of finding a mapping $\pi$ from vertices of a graph to integers that minimizes $\sum_{uv\in E}|\pi(u) - \pi(v)|$. For trees, various algorithms are available to solve the problem in polynomial time; the best known runs in subquadratic time in $n=|V|$. There exist variants of the MLA in which the arrangements are constrained to certain classes of projectivity. Iordanskii, and later Hochberg and Stallmann (HS), put forward $O(n)$-time algorithms that solve the problem when arrangements are constrained to be planar. We also consider linear arrangements of rooted trees that are constrained to be projective. Gildea and Temperley (GT) sketched an algorithm for the projectivity constraint which, as they claimed, runs in $O(n)$ but did not provide any justification of its cost. In contrast, Park and Levy claimed that GT's algorithm runs in $O(n \log d_{max})$ where $d_{max}$ is the maximum degree but did not provide sufficient detail. Here we correct an error in HS's algorithm for the planar case, show its relationship with the projective case, and derive an algorithm for the projective case that runs undoubtlessly in $O(n)$-time.




Abstract:It is often stated that human languages, as other biological systems, are shaped by cost-cutting pressures but, to what extent? Attempts to quantify the degree of optimality of languages by means of an optimality score have been scarce and focused mostly on English. Here we recast the problem of the optimality of the word order of a sentence as an optimization problem on a spatial network where the vertices are words, arcs indicate syntactic dependencies and the space is defined by the linear order of the words in the sentence. We introduce a new score to quantify the cognitive pressure to reduce the distance between linked words in a sentence. The analysis of sentences from 93 languages representing 19 linguistic families reveals that half of languages are optimized to a 70% or more. The score indicates that distances are not significantly reduced in a few languages and confirms two theoretical predictions, i.e. that longer sentences are more optimized and that distances are more likely to be longer than expected by chance in short sentences. We present a new hierarchical ranking of languages by their degree of optimization. The statistical advantages of the new score call for a reevaluation of the evolution of dependency distance over time in languages as well as the relationship between dependency distance and linguistic competence. Finally, the principles behind the design of the score can be extended to develop more powerful normalizations of topological distances or physical distances in more dimensions.




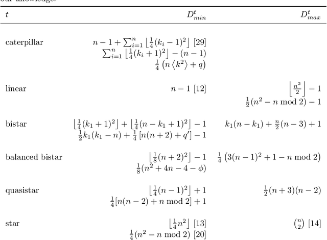
Abstract:A fundamental problem in network science is the normalization of the topological or physical distance between vertices, that requires understanding the range of variation of the unnormalized distances. Here we investigate the limits of the variation of the physical distance in linear arrangements of the vertices of trees. In particular, we investigate various problems on the sum of edge lengths in trees of a fixed size: the minimum and the maximum value of the sum for specific trees, the minimum and the maximum in classes of trees (bistar trees and caterpillar trees) and finally the minimum and the maximum for any tree. We establish some foundations for research on optimality scores for spatial networks in one dimension.