



Abstract:In the evolution towards the forthcoming era of sixth-generation (6G) mobile communication systems characterized by ubiquitous intelligence, integrated sensing and communication (ISAC) is in a phase of burgeoning development. However, the capabilities of communication and sensing within single frequency band fall short of meeting the escalating demands. To this end, this paper introduces a carrier aggregation (CA)- enabled multi-input multi-output orthogonal frequency division multiplexing (MIMO-OFDM) ISAC system fusing the sensing data on high and low-frequency bands by symbol-level fusion for ultimate communication experience and high-accuracy sensing. The challenges in sensing signal processing introduced by CA include the initial phase misalignment of the echo signals on high and low-frequency bands due to attenuation and radar cross section, and the fusion of the sensing data on high and lowfrequency bands with different physical-layer parameters. To this end, the sensing signal processing is decomposed into two stages. In the first stage, the problem of initial phase misalignment of the echo signals on high and low-frequency bands is solved by the angle compensation, space-domain diversity and vector crosscorrelation operations. In the second stage, this paper realizes symbol-level fusion of the sensing data on high and low-frequency bands through sensing vector rearrangement and cyclic prefix adjustment operations, thereby obtaining high-precision sensing performance. Then, the closed-form communication mutual information (MI) and sensing Cramer-Rao lower bound (CRLB) for the proposed ISAC system are derived to explore the theoretical performance bound with CA. Simulation results validate the feasibility and superiority of the proposed ISAC system.
Abstract:As the uplink sensing has the advantage of easy implementation, it attracts great attention in integrated sensing and communication (ISAC) system. This paper presents an uplink ISAC system based on multi-input multi-output orthogonal frequency division multiplexing (MIMO-OFDM) technology. The mutual information (MI) is introduced as a unified metric to evaluate the performance of communication and sensing. In this paper, firstly, the upper and lower bounds of communication and sensing MI are derived in details based on the interaction between communication and sensing. And the ISAC waveform is optimized by maximizing the weighted sum of sensing and communication MI. The Monte Carlo simulation results show that, compared with other waveform optimization schemes, the proposed ISAC scheme has the best overall performance.




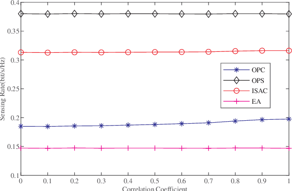
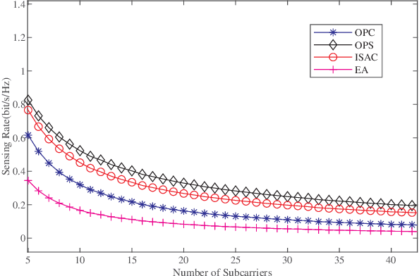
Abstract:Integrated sensing and communication (ISAC) is regarded as the enabling technology in the future 5th-Generation-Advanced (5G-A) and 6th-Generation (6G) mobile communication system. ISAC waveform design is critical in ISAC system. However, the difference of the performance metrics between sensing and communication brings challenges for the ISAC waveform design. This paper applies the unified performance metrics in information theory, namely mutual information (MI), to measure the communication and sensing performance in multicarrier ISAC system. In multi-input multi-output orthogonal frequency division multiplexing (MIMO-OFDM) ISAC system, we first derive the sensing and communication MI with subcarrier correlation and spatial correlation. Then, we propose optimal waveform designs for maximizing the sensing MI, communication MI and the weighted sum of sensing and communication MI, respectively. The optimization results are validated by Monte Carlo simulations. Our work provides effective closed-form expressions for waveform design, enabling the realization of MIMO-OFDM ISAC system with balanced performance in communication and sensing.