Abstract:Model editing aims to correct errors in large, pretrained models without altering unrelated behaviors. While some recent works have edited vision-language models (VLMs), no existing editors tackle reasoning-heavy tasks, which typically require humans and models to reason about images. We therefore propose ReasonEdit, the first VLM editor to let users explain their reasoning during editing, introducing a new, practical model editing setup. ReasonEdit continuously stores human reasoning in a codebook, and retrieves only relevant facts during inference using a novel topology-balanced multimodal embedding method inspired by network science. Across four VLMs on multiple rationale-based visual question answering datasets, ReasonEdit achieves state-of-the-art editing performance, ultimately showing that using human reasoning during editing greatly improves edit generalization.




Abstract:Many recent studies have proposed general-purpose foundation models designed for a variety of time series analysis tasks. While several established datasets already exist for evaluating these models, previous works frequently introduce their models in conjunction with new datasets, limiting opportunities for direct, independent comparisons and obscuring insights into the relative strengths of different methods. Additionally, prior evaluations often cover numerous tasks simultaneously, assessing a broad range of model abilities without clearly pinpointing which capabilities contribute to overall performance. To address these gaps, we formalize and evaluate 3 tasks that test a model's ability to describe time series using generic natural language: (1) recognition (True/False question-answering), (2) differentiation (multiple choice question-answering), and (3) generation (open-ended natural language description). We then unify 4 recent datasets to enable head-to-head model comparisons on each task. Experimentally, in evaluating 13 state-of-the-art language, vision--language, and time series--language models, we find that (1) popular language-only methods largely underperform, indicating a need for time series-specific architectures, (2) VLMs are quite successful, as expected, identifying the value of vision models for these tasks and (3) pretrained multimodal time series--language models successfully outperform LLMs, but still have significant room for improvement. We also find that all approaches exhibit clear fragility in a range of robustness tests. Overall, our benchmark provides a standardized evaluation on a task necessary for time series reasoning systems.




Abstract:Free-text responses are commonly collected in psychological studies, providing rich qualitative insights that quantitative measures may not capture. Labeling curated topics of research interest in free-text data by multiple trained human coders is typically labor-intensive and time-consuming. Though large language models (LLMs) excel in language processing, LLM-assisted labeling techniques relying on closed-source LLMs cannot be directly applied to free-text data, without explicit consent for external use. In this study, we propose a framework of assembling locally-deployable LLMs to enhance the labeling of predetermined topics in free-text data under privacy constraints. Analogous to annotation by multiple human raters, this framework leverages the heterogeneity of diverse open-source LLMs. The ensemble approach seeks a balance between the agreement and disagreement across LLMs, guided by a relevancy scoring methodology that utilizes embedding distances between topic descriptions and LLMs' reasoning. We evaluated the ensemble approach using both publicly accessible Reddit data from eating disorder related forums, and free-text responses from eating disorder patients, both complemented by human annotations. We found that: (1) there is heterogeneity in the performance of labeling among same-sized LLMs, with some showing low sensitivity but high precision, while others exhibit high sensitivity but low precision. (2) Compared to individual LLMs, the ensemble of LLMs achieved the highest accuracy and optimal precision-sensitivity trade-off in predicting human annotations. (3) The relevancy scores across LLMs showed greater agreement than dichotomous labels, indicating that the relevancy scoring method effectively mitigates the heterogeneity in LLMs' labeling.




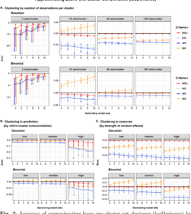
Abstract:This paper introduced a clustered estimator of the Network Information Criterion (NICc) to approximate leave-one-cluster-out cross-validated deviance, which can be used as an alternative to cluster-based cross-validation when modeling clustered data. Stone proved that Akaike Information Criterion (AIC) is an asymptotic equivalence to leave-one-observation-out cross-validation if the parametric model is true. Ripley pointed out that the Network Information Criterion (NIC) derived in Stone's proof, is a better approximation to leave-one-observation-out cross-validation when the model is not true. For clustered data, we derived a clustered estimator of NIC, referred to as NICc, by substituting the Fisher information matrix in NIC with its estimator that adjusts for clustering. This adjustment imposes a larger penalty in NICc than the unclustered estimator of NIC when modeling clustered data, thereby preventing overfitting more effectively. In a simulation study and an empirical example, we used linear and logistic regression to model clustered data with Gaussian or binomial response, respectively. We showed that NICc is a better approximation to leave-one-cluster-out deviance and prevents overfitting more effectively than AIC and Bayesian Information Criterion (BIC). NICc leads to more accurate model selection, as determined by cluster-based cross-validation, compared to AIC and BIC.