



Abstract:In this work, we present the design for both pilot-uncoupled and pilot-free on-off multiple access (ODMA) receivers in unsourced random access (URA) for multiple-input multiple-output (MIMO) systems. Unlike pilot-coupled ODMA, where on-off patterns are linked to pilot selection, pilot-uncoupled and pilot-free ODMA reduce transmission redundancy but face challenges in processing complexity and capacity performance. The joint pattern and data detector (JPDD) design is critical for these schemes, but the current JPDD algorithm has high complexity with quadratic computational costs. To address this, we propose a low-complexity detector based on approximate message passing (AMP), which offers linear complexity, providing reduced cost and improved performance in the under-determined linear regression case. Decoding is initialized via pilot-free matrix factorization through alternating minimization, resolving phase and scalar ambiguities. Compared to existing pilot-free schemes, the proposed method achieves a 13 dB improvement and favorable trade-offs in complexity and capacity performance when compared to benchmarks.
Abstract:Dual-functional radar-communication (DFRC) has attracted considerable attention. This paper considers the frequency-selective multipath fading environment and proposes DFRC waveform design strategies based on multiple-input and multiple-output (MIMO) and orthogonal frequency division multiplexing (OFDM) techniques. In the proposed waveform design strategies, the Cramer-Rao bound (CRB) of the radar system, the inter-stream interference (ISI) and the achievable rate of the communication system, are respectively considered as the performance metrics. In this paper, we focus on the performance trade-off between the radar system and the communication system, and the optimization problems are formulated. In the ISI minimization based waveform design strategy, the optimization problem is convex and can be easily solved. In the achievable rate maximization based waveform design strategy, we propose a water-filling (WF) and sequential quadratic programming (SQP) based algorithm to derive the covariance matrix and the precoding matrix. Simulation results validate the proposed DFRC waveform designs and show that the achievable rate maximization based strategy has a better performance than the ISI minimization based strategy.




Abstract:In this work, an efficient precoding design scheme is proposed for downlink cell-free distributed massive multiple-input multiple-output (DM-MIMO) filter bank multi-carrier (FBMC) systems with asynchronous reception and highly frequency selectivity. The proposed scheme includes a multiple interpolation structure to eliminate the impact of response difference we recently discovered, which has better performance in highly frequency-selective channels. Besides, we also consider the phase shift in asynchronous reception and introduce a phase compensation in the design process. The phase compensation also benefits from the multiple interpolation structure and better adapts to asynchronous reception. Based on the proposed scheme, we theoretically analyze its ergodic achievable rate performance and derive a closed-form expression. Simulation results show that the derived expression can accurately characterize the rate performance, and FBMC with the proposed scheme outperforms orthogonal frequency-division multiplexing (OFDM) in the asynchronous scenario.




Abstract:The reconfigurable intelligent surface (RIS) has drawn considerable attention for its ability to enhance the performance of not only the wireless communication but also the indoor localization with low-cost. This paper investigates the performance limits of the RIS-based near-field localization in the asynchronous scenario, and analyzes the impact of each part of the cascaded channel on the localization performance. The Fisher information matrix (FIM) and the position error bound (PEB) are derived. Besides, we also derive the equivalent Fisher information (EFI) for the position-related intermediate parameters. Enabled by the derived EFI, we show that the information for both the distance and the direction of the user can be obtained when the near-field spherical wavefront is considered for the RIS-User equipment (UE) part of the channel, while only the direction of the UE can be inferred in the far-field scenario. For the base station (BS)-RIS part of the channel, we reveal that this part of the channel determines the type of the gain provided by the BS antenna array. We also show that the well-known focusing control scheme for RIS, which maximizes the received SNR, is not always a good choice and may degrade the localization performance in the asynchronous scenario. The simulation results validate the analytic work. The impact of the focusing control scheme on the PEB performances under synchronous and asynchronous conditions is also investigated.




Abstract:Reconfigurable intelligent surface (RIS) can assist terahertz wireless communication to restore the fragile line-of-sight links and facilitate beam steering. Arbitrary reflection beam patterns are desired to meet diverse requirements in different applications. This paper establishes relationship between RIS beam pattern design with two-dimensional finite impulse response filter design and proposes a fast non-iterative algorithm to solve the problem. Simulations show that the proposed method outperforms baseline method. Hence, it represents a promising solution for fast and arbitrary beam pattern design in RIS-assisted terahertz wireless communication.




Abstract:The self-equalization property has raised great concern in the combination of offset-quadratic-amplitude-modulation-based filter bank multi-carrier (FBMC/OQAM) and massive multiple-input multiple-output (MIMO) system, which enables to decrease the interference brought by the highly frequency-selective channels as the number of base station (BS) antennas increases. However, existing works show that there remains residual interference after single-tap equalization even with infinite number of BS antennas, leading to a limitation of achievable signal-to-interference-plus-noise ratio (SINR) performance. In this paper, we propose a two-stage design scheme of equalizers to remove the above limitation. In the first stage, we design high-rate equalizers working before FBMC demodulation to avoid the potential loss of channel information obtained at the BS. In the second stage, we transform the high-rate equalizers into the low-rate equalizers after FBMC demodulation to reduce the implementation complexity. Compared with prior works, the proposed scheme has affordable complexity under massive MIMO and only requires instantaneous channel state information (CSI) without statistical CSI and additional equalizers. Simulation results show that the scheme can bring improved SINR performance. Moreover, even with finite number of BS antennas, the interference brought by the channels can be almost eliminated.




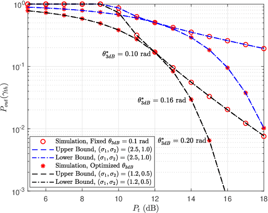
Abstract:Conventional beamforming is based on channel estimation, which can be computationally intensive and inaccurate when the antenna array is large. In this work, we study the outage probability of positioning-assisted beamforming systems. Closed-form outage probability bounds are derived by considering positioning error, link distance and beamwidth. Based on the analytical result, we show that the beamwidth should be optimized with respect to the link distance and the transmit power, and such optimization significantly suppresses the outage probability.