



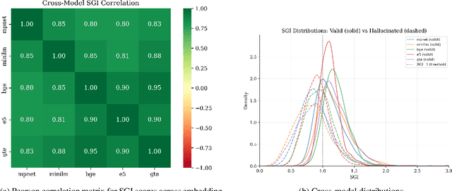
Abstract:When retrieval-augmented generation (RAG) systems hallucinate, what geometric trace does this leave in embedding space? We introduce the Semantic Grounding Index (SGI), defined as the ratio of angular distances from the response to the question versus the context on the unit hypersphere $\mathbb{S}^{d-1}$.Our central finding is \emph{semantic laziness}: hallucinated responses remain angularly proximate to questions rather than departing toward retrieved contexts. On HaluEval ($n$=5,000), we observe large effect sizes (Cohen's $d$ ranging from 0.92 to 1.28) across five embedding models with mean cross-model correlation $r$=0.85. Crucially, we derive from the spherical triangle inequality that SGI's discriminative power should increase with question-context angular separation $θ(q,c)$-a theoretical prediction confirmed empirically: effect size rises monotonically from $d$=0.61 -low $θ(q,c)$, to $d$=1.27 -high $θ(q,c)$, with AUC improving from 0.72 to 0.83. Subgroup analysis reveals that SGI excels on long responses ($d$=2.05) and short questions ($d$=1.22), while remaining robust across context lengths. Calibration analysis yields ECE=0.10, indicating SGI scores can serve as probability estimates, not merely rankings. A critical negative result on TruthfulQA (AUC=0.478) establishes that angular geometry measures topical engagement rather than factual accuracy. SGI provides computationally efficient, theoretically grounded infrastructure for identifying responses that warrant verification in production RAG deployments.
Abstract:We present Adjacent Possible Exploration (APE), a simple yet effective method for adapting large language models to specific tasks using minimal computational resources. Unlike traditional fine-tuning that requires extensive compute, APE iteratively fine-tunes models on small, carefully selected data batches (200 examples), retaining only improvements. On news summarization, APE achieves 40 percent BLEU improvement using just a T4 GPU in 60 minutes, matching or exceeding more complex methods like LoRA while remaining conceptually simple. Our approach is particularly valuable for researchers and practitioners with limited computational resources. We provide open-source code and demonstrate APE's effectiveness through both automatic metrics and human evaluation. While inspired by evolutionary theory's "adjacent possible", APE's core insight has a very practical application: small, iterative data perturbations can efficiently guide LLMs toward task-specific performance without expensive retraining.



Abstract:This paper introduces a novel Hamiltonian-inspired neural network approach to credit scoring, designed to address the challenges of class imbalance and out-of-time (OOT) prediction in financial risk management. Drawing from concepts in Hamiltonian mechanics, we develop a symplectic optimizer and a new loss function to capture the complex dynamics of credit risk evolution. Using the Freddie Mac Single-Family Loan-Level Dataset, we evaluate our model's performance against other machine learning approaches. Our method shows superior discriminative power in OOT scenarios, as measured by the Area Under the Curve (AUC), indicating better ranking ability and robustness to class imbalance. The Hamiltonian-inspired approach shows particular strength in maintaining consistent performance between in-sample and OOT test sets, suggesting improved generalization to future, unseen data. These findings suggest that physics-inspired techniques offer a promising direction for developing more robust and reliable credit scoring models, particularly in uncertain economic situations.




Abstract:Latest advances in Super-Resolution (SR) have been tested with general purpose images such as faces, landscapes and objects, mainly unused for the task of super-resolving Earth Observation (EO) images. In this research paper, we benchmark state-of-the-art SR algorithms for distinct EO datasets using both Full-Reference and No-Reference Image Quality Assessment (IQA) metrics. We also propose a novel Quality Metric Regression Network (QMRNet) that is able to predict quality (as a No-Reference metric) by training on any property of the image (i.e. its resolution, its distortions...) and also able to optimize SR algorithms for a specific metric objective. This work is part of the implementation of the framework IQUAFLOW which has been developed for evaluating image quality, detection and classification of objects as well as image compression in EO use cases. We integrated our experimentation and tested our QMRNet algorithm on predicting features like blur, sharpness, snr, rer and ground sampling distance (GSD) and obtain validation medRs below 1.0 (out of N=50) and recall rates above 95\%. Overall benchmark shows promising results for LIIF, CAR and MSRN and also the potential use of QMRNet as Loss for optimizing SR predictions. Due to its simplicity, QMRNet could also be used for other use cases and image domains, as its architecture and data processing is fully scalable.
Abstract:Convolutional neural networks (CNNs) have demonstrated their superiority in numerous computer vision tasks, yet their computational cost results prohibitive for many real-time applications such as pedestrian detection which is usually performed on low-consumption hardware. In order to alleviate this drawback, most strategies focus on using a two-stage cascade approach. Essentially, in the first stage a fast method generates a significant but reduced amount of high quality proposals that later, in the second stage, are evaluated by the CNN. In this work, we propose a novel detection pipeline that further benefits from the two-stage cascade strategy. More concretely, the enriched and subsequently compressed features used in the first stage are reused as the CNN input. As a consequence, a simpler network architecture, adapted for such small input sizes, allows to achieve real-time performance and obtain results close to the state-of-the-art while running significantly faster without the use of GPU. In particular, considering that the proposed pipeline runs in frame rate, the achieved performance is highly competitive. We furthermore demonstrate that the proposed pipeline on itself can serve as an effective proposal generator.