

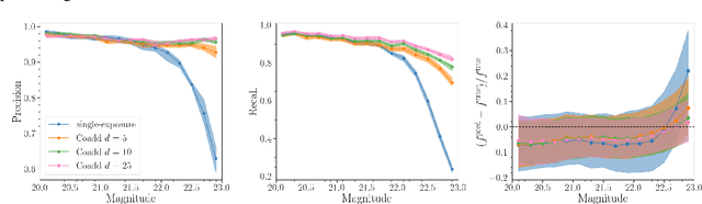
Abstract:Coadded astronomical images are created by stacking multiple single-exposure images. Because coadded images are smaller in terms of data size than the single-exposure images they summarize, loading and processing them is less computationally expensive. However, image coaddition introduces additional dependence among pixels, which complicates principled statistical analysis of them. We present a principled Bayesian approach for performing light source parameter inference with coadded astronomical images. Our method implicitly marginalizes over the single-exposure pixel intensities that contribute to the coadded images, giving it the computational efficiency necessary to scale to next-generation astronomical surveys. As a proof of concept, we show that our method for estimating the locations and fluxes of stars using simulated coadds outperforms a method trained on single-exposure images.




Abstract:We present a new probabilistic method for detecting, deblending, and cataloging astronomical sources called the Bayesian Light Source Separator (BLISS). BLISS is based on deep generative models, which embed neural networks within a Bayesian model. For posterior inference, BLISS uses a new form of variational inference known as Forward Amortized Variational Inference. The BLISS inference routine is fast, requiring a single forward pass of the encoder networks on a GPU once the encoder networks are trained. BLISS can perform fully Bayesian inference on megapixel images in seconds, and produces highly accurate catalogs. BLISS is highly extensible, and has the potential to directly answer downstream scientific questions in addition to producing probabilistic catalogs.