Klaus




Abstract:Full-duplex (FD) technology is gaining popularity for integration into a wide range of wireless networks due to its demonstrated potential in recent studies. In contrast to half-duplex (HD) technology, the implementation of FD in networks necessitates considering inter-node interference (INI) from various network perspectives. When deploying FD technology in networks, several critical factors must be taken into account. These include self-interference (SI) and the requisite SI cancellation (SIC) processes, as well as the selection of multiple user equipment (UE) per time slot. Additionally, inter-node interference (INI), including cross-link interference (CLI) and inter-cell interference (ICI), become crucial issues during concurrent uplink (UL) and downlink (DL) transmission and reception, similar to SI. Since most INI is challenging to eliminate, a comprehensive investigation that covers radio resource control (RRC), medium access control (MAC), and the physical layer (PHY) is essential in the context of FD network design, rather than focusing on individual network layers and types. This paper covers state-of-the-art studies, including protocols and documents from 3GPP for FD, MAC protocol, user scheduling, and CLI handling. The methods are also compared through a network-level system simulation based on 3D ray-tracing.




Abstract:The increasing demand for wireless communication services has led to the development of non-terrestrial networks, which enables various air and space applications. Free-space optical (FSO) communication is considered one of the essential technologies capable of connecting terrestrial and non-terrestrial layers. In this article, we analyze considerations and challenges for FSO communications between gateways and aircraft from a pointing-and-acquisition perspective. Based on the analysis, we first develop a baseline method that utilizes conventional devices and mechanisms. Furthermore, we propose an algorithm that combines angle of arrival (AoA) estimation through supplementary radio frequency (RF) links and beam tracking using retroreflectors. Through extensive simulations, we demonstrate that the proposed method offers superior performance in terms of link acquisition and maintenance.




Abstract:In this correspondence, we propose a diversity-achieving retroreflector-based fine tracking system for free-space optical (FSO) communications. We show that multiple retroreflectors deployed around the communication telescope at the aerial vehicle save the payload capacity and enhance the outage performance of the fine tracking system. Through the analysis of the joint-pointing loss of the multiple retroreflectors, we derive the ordered moments of the received power. Our analysis can be further utilized for studies on multiple input multiple output (MIMO)-FSO. After the moment-based estimation of the received power distribution, we numerically analyze the outage performance. The greatest challenge of retroreflector-based FSO communication is a significant decrease in power. Still, our selected numerical results show that, from an outage perspective, the proposed method can surpass conventional methods.




Abstract:Numerous researchers have studied innovations in future sixth-generation (6G) wireless communications. Indeed, a critical issue that has emerged is to contend with society's insatiable demand for high data rates and massive 6G connectivity. Some scholars consider one innovation to be a breakthrough--the application of free-space optical (FSO) communication. Owing to its exceedingly high carrier frequency/bandwidth and the potential of the unlicensed spectrum domain, FSO communication provides an excellent opportunity to develop ultrafast data links that can be applied in a variety of 6G applications, including heterogeneous networks with enormous connectivity and wireless backhauls for cellular systems. In this study, we perform video signal transmissions via an FPGA-based FSO communication prototype to investigate the feasibility of an FSO link with a distance of up to 20~km. We use a channel emulator to reliably model turbulence, scintillation, and power attenuation of the long-range FSO channel. We use the FPGA-based real-time SDR prototype to process the transmitted and received video signals. Our study also presents the channel-generation process of a given long-distance FSO link. To enhance the link quality, we apply spatial selective filtering to suppress the background noise generated by sunlight. To measure the misalignment of the transceiver, we use sampling-based pointing, acquisition, and tracking to compensate for it by improving the signal-to-noise ratio. For the main video signal transmission testbed, we consider various environments by changing the amount of turbulence and wind speed. We demonstrate that the testbed even permits the successful transmission of ultra-high-definition (UHD: 3840 x 2160 resolution) 60 fps videos under severe turbulence and high wind speeds.




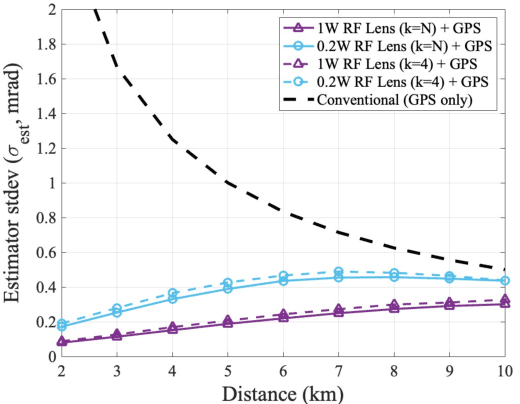
Abstract:Because of its high directivity, free-space optical (FSO) communication offers a number of advantages. It can, however, give rise to major system difficulties concerning alignment between two terminals. During the link-acquisition step (a.k.a. coarse pointing), a ground station can be prevented from acquiring optical links due to pointing errors and insufficient information about unmanned aerial vehicle locations. We propose, in this letter, a radio-frequency (RF) lens antenna array to increase the performance of coarse pointing in hybrid RF/FSO communications. The proposed algorithm using a novel closed-form angle estimator, compared to conventional methods, reduces the minimum outage probability by over a thousand times.