



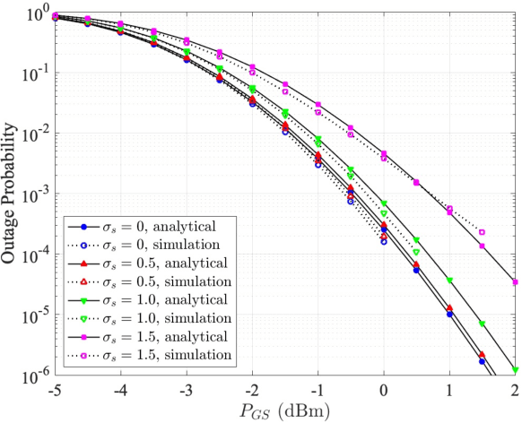
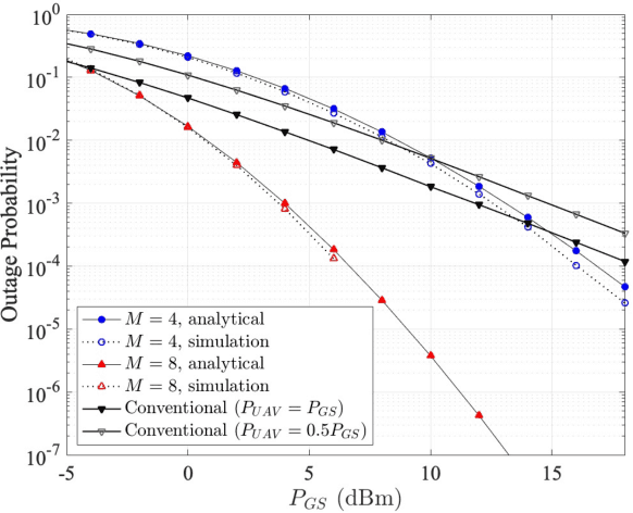
In this correspondence, we propose a diversity-achieving retroreflector-based fine tracking system for free-space optical (FSO) communications. We show that multiple retroreflectors deployed around the communication telescope at the aerial vehicle save the payload capacity and enhance the outage performance of the fine tracking system. Through the analysis of the joint-pointing loss of the multiple retroreflectors, we derive the ordered moments of the received power. Our analysis can be further utilized for studies on multiple input multiple output (MIMO)-FSO. After the moment-based estimation of the received power distribution, we numerically analyze the outage performance. The greatest challenge of retroreflector-based FSO communication is a significant decrease in power. Still, our selected numerical results show that, from an outage perspective, the proposed method can surpass conventional methods.