



Abstract:Specific emitter identification (SEI) is a potential physical layer authentication technology, which is one of the most critical complements of upper layer authentication. Radio frequency fingerprint (RFF)-based SEI is to distinguish one emitter from each other by immutable RF characteristics from electronic components. Due to the powerful ability of deep learning (DL) to extract hidden features and perform classification, it can extract highly separative features from massive signal samples, thus enabling SEI. Considering the condition of limited training samples, we propose a novel few-shot SEI (FS-SEI) method based on hybrid data augmentation and deep metric learning (HDA-DML) which gets rid of the dependence on auxiliary datasets. Specifically, HDA consisting rotation and CutMix is designed to increase data diversity, and DML is used to extract high discriminative semantic features. The proposed HDA-DML-based FS-SEI method is evaluated on an open source large-scale real-world automatic-dependent surveillance-broadcast (ADS-B) dataset and a real-world WiFi dataset. The simulation results of two datasets show that the proposed method achieves better identification performance and higher feature discriminability than five latest FS-SEI methods.




Abstract:Rogue emitter detection (RED) is a crucial technique to maintain secure internet of things applications. Existing deep learning-based RED methods have been proposed under the friendly environments. However, these methods perform unstable under low signal-to-noise ratio (SNR) scenarios. To address this problem, we propose a robust RED method, which is a hybrid network of denoising autoencoder and deep metric learning (DML). Specifically, denoising autoencoder is adopted to mitigate noise interference and then improve its robustness under low SNR while DML plays an important role to improve the feature discrimination. Several typical experiments are conducted to evaluate the proposed RED method on an automatic dependent surveillance-Broadcast dataset and an IEEE 802.11 dataset and also to compare it with existing RED methods. Simulation results show that the proposed method achieves better RED performance and higher noise robustness with more discriminative semantic vectors than existing methods.




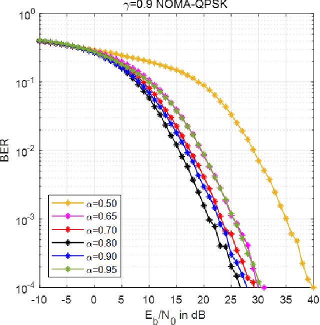
Abstract:This paper analyzes the power imbalance issue in power-domain NOMA (PD-NOMA) in the presence of channel correlations, typically encountered on the downlink of cellular systems when the base station antennas have an insufficient separation. In a recent paper, the authors analyzed this issue for a typical uplink scenario with uncorrelated channels, and the study revealed an astounding result that the optimum in terms of average error probability is achieved when the user signals are perfectly balanced in terms of power as in multi-user MIMO with power control. This result led to some questioning of the concept of PD-NOMA for uncorrelated Rayleigh fading channels. In the present paper, we make a similar analysis for the downlink, and the study gives a very clear insight into the influence of the power imbalance at different levels of channel correlation. First, with full correlation (user signals transmitted from the same antenna), the PD-NOMA concept reduces to simple signal constellation design. The optimum is achieved when the power imbalance between the user signals is such that the resulting constellation has uniform spacing. Any deviation from this optimum will lead to a hierarchical constellation with performance loss. Also, this optimum power imbalance is shown to hold for a range of strong channel correlations, but for moderate and low correlation values perfectly power balanced NOMA takes over as in the presence of uncorrelated channels.




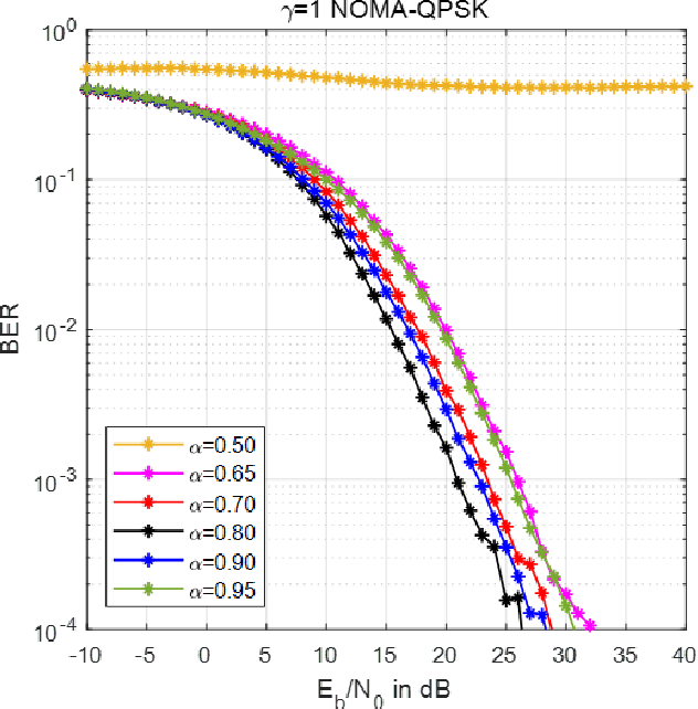
Abstract:This paper analyzes the power imbalance factor on the uplink of a 2-user Power-domain NOMA system and reveals that the minimum value of the average error probability is achieved when the user signals are perfectly balanced in terms of power as in Multi-User MIMO with power control. The analytic result is obtained by analyzing the pairwise error probability and exploiting a symmetry property of the error events. This result is supported by computer simulations using the QPSK and 16QAM signal formats and uncorrelated Rayleigh fading channels. This finding leads to the questioning of the basic philosophy of Power-domain NOMA and suggests that the best strategy for uncorrelated channels is to perfectly balance the average signal powers received from the users and to use a maximum likelihood receiver for their detection.




Abstract:The new demands for high-reliability and ultra-high capacity wireless communication have led to extensive research into 5G communications. However, the current communication systems, which were designed on the basis of conventional communication theories, signficantly restrict further performance improvements and lead to severe limitations. Recently, the emerging deep learning techniques have been recognized as a promising tool for handling the complicated communication systems, and their potential for optimizing wireless communications has been demonstrated. In this article, we first review the development of deep learning solutions for 5G communication, and then propose efficient schemes for deep learning-based 5G scenarios. Specifically, the key ideas for several important deep learningbased communication methods are presented along with the research opportunities and challenges. In particular, novel communication frameworks of non-orthogonal multiple access (NOMA), massive multiple-input multiple-output (MIMO), and millimeter wave (mmWave) are investigated, and their superior performances are demonstrated. We vision that the appealing deep learning-based wireless physical layer frameworks will bring a new direction in communication theories and that this work will move us forward along this road.