

Abstract:In the field of causal modeling, potential outcomes (PO) and structural causal models (SCMs) stand as the predominant frameworks. However, these frameworks face notable challenges in practically modeling counterfactuals, formalized as parameters of the joint distribution of potential outcomes. Counterfactual reasoning holds paramount importance in contemporary decision-making processes, especially in scenarios that demand personalized incentives based on the joint values of $(Y(0), Y(1))$. This paper begins with an investigation of the PO and SCM frameworks for modeling counterfactuals. Through the analysis, we identify an inherent model capacity limitation, termed as the ``degenerative counterfactual problem'', emerging from the consistency rule that is the cornerstone of both frameworks. To address this limitation, we introduce a novel \textit{distribution-consistency} assumption, and in alignment with it, we propose the Distribution-consistency Structural Causal Models (DiscoSCMs) offering enhanced capabilities to model counterfactuals. To concretely reveal the enhanced model capacity, we introduce a new identifiable causal parameter, \textit{the probability of consistency}, which holds practical significance within DiscoSCM alone, showcased with a personalized incentive example. Furthermore, we provide a comprehensive set of theoretical results about the ``Ladder of Causation'' within the DiscoSCM framework. We hope it opens new avenues for future research of counterfactual modeling, ultimately enhancing our understanding of causality and its real-world applications.
Abstract:In the realm of causal inference, the primary frameworks are the Potential Outcome (PO) and the Structural Causal Model (SCM), both predicated on the consistency rule. However, when facing Layer 3 valuations, i.e., counterfactual queries that inherently belong to individual-level semantics, they both seem inadequate due to the issue of degeneration caused by the consistency rule. For instance, in personalized incentive scenarios within the internet industry, the probability of one particular user being a complier, denoted as $P(y_x, y'_{x'})$, degenerates to a parameter that can only take values of 0 or 1. This paper leverages the DiscoSCM framework to theoretically tackle the aforementioned counterfactual degeneration problem, which is a novel framework for causal modeling that combines the strengths of both PO and SCM, and could be seen as an extension of them. The paper starts with a brief introduction to the background of causal modeling frameworks. It then illustrates, through an example, the difficulty in recovering counterfactual parameters from data without imposing strong assumptions. Following this, we propose the DiscoSCM with independent potential noise framework to address this problem. Subsequently, the superior performance of the DiscoSCM framework in answering counterfactual questions is demonstrated by several key results in the topic of unit select problems. We then elucidate that this superiority stems from the philosophy of individual causality. In conclusion, we suggest that DiscoSCM may serve as a significant milestone in the causal modeling field for addressing counterfactual queries.




Abstract:Offering incentives (e.g., coupons at Amazon, discounts at Uber and video bonuses at Tiktok) to user is a common strategy used by online platforms to increase user engagement and platform revenue. Despite its proven effectiveness, these marketing incentives incur an inevitable cost and might result in a low ROI (Return on Investment) if not used properly. On the other hand, different users respond differently to these incentives, for instance, some users never buy certain products without coupons, while others do anyway. Thus, how to select the right amount of incentives (i.e. treatment) to each user under budget constraints is an important research problem with great practical implications. In this paper, we call such problem as a budget-constrained treatment selection (BTS) problem. The challenge is how to efficiently solve BTS problem on a Large-Scale dataset and achieve improved results over the existing techniques. We propose a novel tree-based treatment selection technique under budget constraints, called Large-Scale Budget-Constrained Causal Forest (LBCF) algorithm, which is also an efficient treatment selection algorithm suitable for modern distributed computing systems. A novel offline evaluation method is also proposed to overcome an intrinsic challenge in assessing solutions' performance for BTS problem in randomized control trials (RCT) data. We deploy our approach in a real-world scenario on a large-scale video platform, where the platform gives away bonuses in order to increase users' campaign engagement duration. The simulation analysis, offline and online experiments all show that our method outperforms various tree-based state-of-the-art baselines. The proposed approach is currently serving over hundreds of millions of users on the platform and achieves one of the most tremendous improvements over these months.




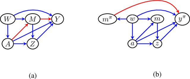
Abstract:Path-specific effects in mediation analysis provide a useful tool for fairness analysis, which is mostly based on nested counterfactuals. However, the dictum ``no causation without manipulation'' implies that path-specific effects might be induced by certain interventions. This paper proposes a new path intervention inspired by information accounts of causality, and develops the corresponding intervention diagrams and $\pi$-formula. Compared with the interventionist approach of Robins et al.(2020) based on nested counterfactuals, our proposed path intervention method explicitly describes the manipulation in structural causal model with a simple information transferring interpretation, and does not require the non-existence of recanting witness to identify path-specific effects. Hence, it could serve useful communications and theoretical focus for mediation analysis.