



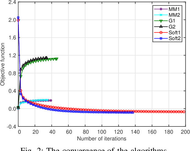
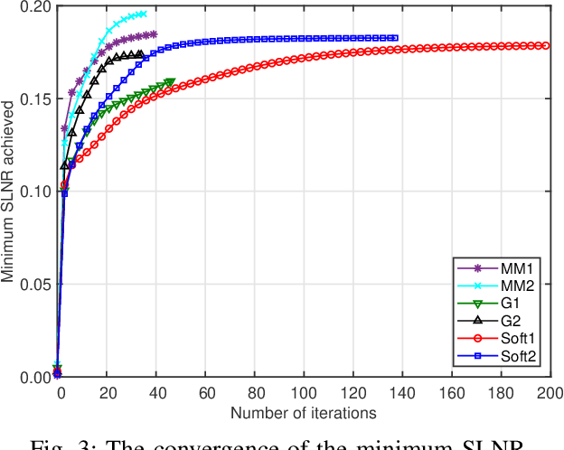
Abstract:This is the first treatise on multi-user (MU) beamforming designed for achieving long-term rate-fairness in fulldimensional MU massive multi-input multi-output (m-MIMO) systems. Explicitly, based on the channel covariances, which can be assumed to be known beforehand, we address this problem by optimizing the following objective functions: the users' signal-toleakage-noise ratios (SLNRs) using SLNR max-min optimization, geometric mean of SLNRs (GM-SLNR) based optimization, and SLNR soft max-min optimization. We develop a convex-solver based algorithm, which invokes a convex subproblem of cubic time-complexity at each iteration for solving the SLNR maxmin problem. We then develop closed-form expression based algorithms of scalable complexity for the solution of the GMSLNR and of the SLNR soft max-min problem. The simulations provided confirm the users' improved-fairness ergodic rate distributions.




Abstract:A wireless network serving multiple users in the millimeter-wave or the sub-terahertz band by a base station is considered. High-throughput multi-user hybrid-transmit beamforming is conceived by maximizing the minimum rate of the users. For the sake of energy-efficient signal transmission, the array-of-subarrays structure is used for analog beamforming relying on low-resolution phase shifters. We develop a convexsolver based algorithm, which iteratively invokes a convex problem of the same beamformer size for its solution. We then introduce the soft max-min rate objective function and develop a scalable algorithm for its optimization. Our simulation results demonstrate the striking fact that soft max-min rate optimization not only approaches the minimum user rate obtained by max-min rate optimization but it also achieves a sum rate similar to that of sum-rate maximization. Thus, the soft max-min rate optimization based beamforming design conceived offers a new technique of simultaneously achieving a high individual quality-of-service for all users and a high total network throughput.




Abstract:The aim of this paper is to characterize the impact of non-orthogonal multiple access (NOMA) on the age of information (AoI) of grant-free transmission. In particular, a low-complexity form of NOMA, termed NOMA-assisted random access, is applied to grant-free transmission in order to illustrate the two benefits of NOMA for AoI reduction, namely increasing channel access and reducing user collisions. Closed-form analytical expressions for the AoI achieved by NOMA assisted grant-free transmission are obtained, and asymptotic studies are carried out to demonstrate that the use of the simplest form of NOMA is already sufficient to reduce the AoI of orthogonal multiple access (OMA) by more than 40%. In addition, the developed analytical expressions are also shown to be useful for optimizing the users' transmission attempt probabilities, which are key parameters for grant-free transmission.




Abstract:The aim of this paper is to exploit cognitive-ratio inspired NOMA (CR-NOMA) transmission to reduce the age of information in wireless networks. In particular, two CR-NOMA transmission protocols are developed by utilizing the key features of different data generation models and applying CR-NOMA as an add-on to a legacy orthogonal multiple access (OMA) based network. The fact that the implementation of CR-NOMA causes little disruption to the legacy OMA network means that the proposed CR-NOMA protocols can be practically implemented in various communication systems which are based on OMA. Closed-form expressions for the AoI achieved by the proposed NOMA protocols are developed to facilitate performance evaluation, and asymptotic studies are carried out to identify two benefits of using NOMA to reduce the AoI in wireless networks. One is that the use of NOMA provides users more opportunities to transmit, which means that the users can update their base station more frequently. The other is that the use of NOMA can reduce access delay, i.e., the users are scheduled to transmit earlier than in the OMA case, which is useful to improve the freshness of the data available in the wireless network.




Abstract:This paper considers the downlink of an ultra-reliable low-latency communication (URLLC) system in which a base station (BS) serves multiple single-antenna users in the short (finite) blocklength (FBL) regime with the assistance of a reconfigurable intelligent surface (RIS). In the FBL regime, the users' achievable rates are complex functions of the beamforming vectors and of the RIS's programmable reflecting elements (PREs). We propose the joint design of the transmit beamformers and PREs, the problem of maximizing the geometric mean (GM) of these rates (GM-rate) and show that this aforementioned results are providing fair rate distribution and thus reliable links to all users. A novel computational algorithm is developed, which is based on closed forms to generate improved feasible points, using its execution. The simulations show the merit of our solution.


Abstract:We consider information-theoretic bounds on expected generalization error for statistical learning problems in a networked setting. In this setting, there are $K$ nodes, each with its own independent dataset, and the models from each node have to be aggregated into a final centralized model. We consider both simple averaging of the models as well as more complicated multi-round algorithms. We give upper bounds on the expected generalization error for a variety of problems, such as those with Bregman divergence or Lipschitz continuous losses, that demonstrate an improved dependence of $1/K$ on the number of nodes. These "per node" bounds are in terms of the mutual information between the training dataset and the trained weights at each node, and are therefore useful in describing the generalization properties inherent to having communication or privacy constraints at each node.




Abstract:This paper considers a network of a multi-antenna array base station (BS) and a reconfigurable intelligent surface (RIS) to deliver both information to information users (IUs) and power to energy users (EUs). The RIS links the connection between the IUs and the BS as there is no direct path between the former and the latter. The EUs are located nearby the BS in order to effectively harvest energy from the high-power signal from the BS, while the much weaker signal reflected from the RIS hardly contributes to the EUs' harvested energy. To provide reliable links for all users over the same time-slot, we adopt the transmit time-switching (transmit-TS) approach, under which information and energy are delivered over different time-slot fractions. This allows us to rely on conjugate beamforming for energy links and zero-forcing/regularized zero-forcing beamforming (ZFB/RZFB) and on the programmable reflecting coefficients (PRCs) of the RIS for information links. We show that ZFB/RZFB and PRCs can be still separately optimized in their joint design, where PRC optimization is based on iterative closed-form expressions. We then develop a path-following algorithm for solving our max-min IU throughput optimization problem subject to a realistic constraint on the quality-of-energy-service in terms of the EUs' harvested energy thresholds. We also propose a new RZFB for substantially improving the IUs' throughput.




Abstract:This paper proposes a novel distributed reduced--rank scheme and an adaptive algorithm for distributed estimation in wireless sensor networks. The proposed distributed scheme is based on a transformation that performs dimensionality reduction at each agent of the network followed by a reduced-dimension parameter vector. A distributed reduced-rank joint iterative estimation algorithm is developed, which has the ability to achieve significantly reduced communication overhead and improved performance when compared with existing techniques. Simulation results illustrate the advantages of the proposed strategy in terms of convergence rate and mean square error performance.




Abstract:This paper presents new dynamic topology adaptation strategies for distributed estimation in smart grids systems. We propose a dynamic exhaustive search--based topology adaptation algorithm and a dynamic sparsity--inspired topology adaptation algorithm, which can exploit the topology of smart grids with poor--quality links and obtain performance gains. We incorporate an optimized combining rule, named Hastings rule into our proposed dynamic topology adaptation algorithms. Compared with the existing works in the literature on distributed estimation, the proposed algorithms have a better convergence rate and significantly improve the system performance. The performance of the proposed algorithms is compared with that of existing algorithms in the IEEE 14--bus system.