Abstract:An important challenge in machine translation (MT) is to generate high-quality and diverse translations. Prior work has shown that the estimated likelihood from the MT model correlates poorly with translation quality. In contrast, quality evaluation metrics (such as COMET or BLEURT) exhibit high correlations with human judgments, which has motivated their use as rerankers (such as quality-aware and minimum Bayes risk decoding). However, relying on a single translation with high estimated quality increases the chances of "gaming the metric''. In this paper, we address the problem of sampling a set of high-quality and diverse translations. We provide a simple and effective way to avoid over-reliance on noisy quality estimates by using them as the energy function of a Gibbs distribution. Instead of looking for a mode in the distribution, we generate multiple samples from high-density areas through the Metropolis-Hastings algorithm, a simple Markov chain Monte Carlo approach. The results show that our proposed method leads to high-quality and diverse outputs across multiple language pairs (English$\leftrightarrow${German, Russian}) with two strong decoder-only LLMs (Alma-7b, Tower-7b).




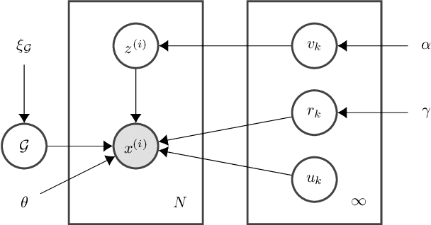
Abstract:Recent work has shown promising results in causal discovery by leveraging interventional data with gradient-based methods, even when the intervened variables are unknown. However, previous work assumes that the correspondence between samples and interventions is known, which is often unrealistic. We envision a scenario with an extensive dataset sampled from multiple intervention distributions and one observation distribution, but where we do not know which distribution originated each sample and how the intervention affected the system, \textit{i.e.}, interventions are entirely latent. We propose a method based on neural networks and variational inference that addresses this scenario by framing it as learning a shared causal graph among an infinite mixture (under a Dirichlet process prior) of intervention structural causal models. Experiments with synthetic and real data show that our approach and its semi-supervised variant are able to discover causal relations in this challenging scenario.