Abstract:This paper introduces a novel family of single-track vehicle models that incorporate a distributed representation of transient tyre dynamics, whilst simultaneously accounting for nonlinear effects induced by friction. The core of the proposed framework is represented by the distributed Friction with Bristle Dynamics (FrBD) model, which unifies and extends classical formulations such as Dahl and LuGre by describing the rolling contact process as a spatially distributed system governed by semilinear partial differential equations (PDEs). This model is systematically integrated into a single-track vehicle framework, where the resulting semilinear ODE-PDE interconnection captures the interaction between lateral vehicle motion and tyre deformation. Two main variants are considered: one with rigid tyre carcass and another with flexible carcass, each admitting a compact state-space representation. Local and global well-posedness properties for the coupled system are established rigorously, highlighting the dissipative and physically consistent properties of the distributed FrBD model. A linearisation procedure is also presented, enabling spectral analysis and transfer function derivation, and potentially facilitating the synthesis of controllers and observers. Numerical simulations demonstrate the model's capability to capture micro-shimmy oscillations and transient lateral responses to advanced steering manoeuvres. The proposed formulation advances the state-of-the-art in vehicle dynamics modelling by providing a physically grounded, mathematically rigorous, and computationally tractable approach to incorporating transient tyre behaviour in lateral vehicle dynamics, when accounting for the effect of limited friction.
Abstract:Predicting the motion of surrounding vehicles is key to safe autonomous driving, especially in unstructured environments without prior information. This paper proposes a novel online method to accurately predict the occupancy sets of surrounding vehicles based solely on motion observations. The approach is divided into two stages: first, an Extended Kalman Filter and a Linear Programming (LP) problem are used to estimate a compact zonotopic set of control actions; then, a reachability analysis propagates this set to predict future occupancy. The effectiveness of the method has been validated through simulations in an urban environment, showing accurate and compact predictions without relying on prior assumptions or prior training data.




Abstract:In this paper, we develop an uncertainty-aware decision-making and motion-planning method for an autonomous ego vehicle in forced merging scenarios, considering the motion uncertainty of surrounding vehicles. The method dynamically captures the uncertainty of surrounding vehicles by online estimation of their acceleration bounds, enabling a reactive but rapid understanding of the uncertainty characteristics of the surrounding vehicles. By leveraging these estimated bounds, a non-conservative forward occupancy of surrounding vehicles is predicted over a horizon, which is incorporated in both the decision-making process and the motion-planning strategy, to enhance the resilience and safety of the planned reference trajectory. The method successfully fulfills the tasks in challenging forced merging scenarios, and the properties are illustrated by comparison with several alternative approaches.




Abstract:The availability of high-quality datasets is crucial for the development of behavior prediction algorithms in autonomous vehicles. This paper highlights the need for standardizing the use of certain datasets for motion forecasting research to simplify comparative analysis and proposes a set of tools and practices to achieve this. Drawing on extensive experience and a comprehensive review of current literature, we summarize our proposals for preprocessing, visualizing, and evaluation in the form of an open-sourced toolbox designed for researchers working on trajectory prediction problems. The clear specification of necessary preprocessing steps and evaluation metrics is intended to alleviate development efforts and facilitate the comparison of results across different studies. The toolbox is available at: https://github.com/westny/dronalize.



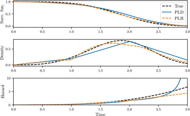
Abstract:In this paper, a family of neural network-based survival models is presented. The models are specified based on piecewise definitions of the hazard function and the density function on a partitioning of the time; both constant and linear piecewise definitions are presented, resulting in a family of four models. The models can be seen as an extension of the commonly used discrete-time and piecewise exponential models and thereby add flexibility to this set of standard models. Using a simulated dataset the models are shown to perform well compared to the highly expressive, state-of-the-art energy-based model, while only requiring a fraction of the computation time.




Abstract:Accurate predictions of when a component will fail are crucial when planning maintenance, and by modeling the distribution of these failure times, survival models have shown to be particularly useful in this context. The presented methodology is based on conventional neural network-based survival models that are trained using data that is continuously gathered and stored at specific times, called snapshots. An important property of this type of training data is that it can contain more than one snapshot from a specific individual which results in that standard maximum likelihood training can not be directly applied since the data is not independent. However, the papers show that if the data is in a specific format where all snapshot times are the same for all individuals, called homogeneously sampled, maximum likelihood training can be applied and produce desirable results. In many cases, the data is not homogeneously sampled and in this case, it is proposed to resample the data to make it homogeneously sampled. How densely the dataset is sampled turns out to be an important parameter; it should be chosen large enough to produce good results, but this also increases the size of the dataset which makes training slow. To reduce the number of samples needed during training, the paper also proposes a technique to, instead of resampling the dataset once before the training starts, randomly resample the dataset at the start of each epoch during the training. The proposed methodology is evaluated on both a simulated dataset and an experimental dataset of starter battery failures. The results show that if the data is homogeneously sampled the methodology works as intended and produces accurate survival models. The results also show that randomly resampling the dataset on each epoch is an effective way to reduce the size of the training data.




Abstract:The ability to predict the future trajectories of traffic participants is crucial for the safe and efficient operation of autonomous vehicles. In this paper, a diffusion-based generative model for multi-agent trajectory prediction is proposed. The model is capable of capturing the complex interactions between traffic participants and the environment, accurately learning the multimodal nature of the data. The effectiveness of the approach is assessed on large-scale datasets of real-world traffic scenarios, showing that our model outperforms several well-established methods in terms of prediction accuracy. By the incorporation of differential motion constraints on the model output, we illustrate that our model is capable of generating a diverse set of realistic future trajectories. Through the use of an interaction-aware guidance signal, we further demonstrate that the model can be adapted to predict the behavior of less cooperative agents, emphasizing its practical applicability under uncertain traffic conditions.




Abstract:Safe motion planning for robotic systems in dynamic environments is nontrivial in the presence of uncertain obstacles, where estimation of obstacle uncertainties is crucial in predicting future motions of dynamic obstacles. The worst-case characterization gives a conservative uncertainty prediction and may result in infeasible motion planning for the ego robotic system. In this paper, an efficient, robust, and safe motion-planing algorithm is developed by learning the obstacle uncertainties online. More specifically, the unknown yet intended control set of obstacles is efficiently computed by solving a linear programming problem. The learned control set is used to compute forward reachable sets of obstacles that are less conservative than the worst-case prediction. Based on the forward prediction, a robust model predictive controller is designed to compute a safe reference trajectory for the ego robotic system that remains outside the reachable sets of obstacles over the prediction horizon. The method is applied to a car-like mobile robot in both simulations and hardware experiments to demonstrate its effectiveness.
Abstract:This paper addresses the training of Neural Ordinary Differential Equations (neural ODEs), and in particular explores the interplay between numerical integration techniques, stability regions, step size, and initialization techniques. It is shown how the choice of integration technique implicitly regularizes the learned model, and how the solver's corresponding stability region affects training and prediction performance. From this analysis, a stability-informed parameter initialization technique is introduced. The effectiveness of the initialization method is displayed across several learning benchmarks and industrial applications.




Abstract:Given their flexibility and encouraging performance, deep-learning models are becoming standard for motion prediction in autonomous driving. However, with great flexibility comes a lack of interpretability and possible violations of physical constraints. Accompanying these data-driven methods with differentially-constrained motion models to provide physically feasible trajectories is a promising future direction. The foundation for this work is a previously introduced graph-neural-network-based model, MTP-GO. The neural network learns to compute the inputs to an underlying motion model to provide physically feasible trajectories. This research investigates the performance of various motion models in combination with numerical solvers for the prediction task. The study shows that simpler models, such as low-order integrator models, are preferred over more complex, e.g., kinematic models, to achieve accurate predictions. Further, the numerical solver can have a substantial impact on performance, advising against commonly used first-order methods like Euler forward. Instead, a second-order method like Heun's can greatly improve predictions.