
Abstract:Quality diversity (QD) algorithms have shown to provide sets of high quality solutions for challenging problems in robotics, games, and combinatorial optimisation. So far, theoretical foundational explaining their good behaviour in practice lack far behind their practical success. We contribute to the theoretical understanding of these algorithms and study the behaviour of QD algorithms for a classical planning problem seeking several solutions. We study the all-pairs-shortest-paths (APSP) problem which gives a natural formulation of the behavioural space based on all pairs of nodes of the given input graph that can be used by Map-Elites QD algorithms. Our results show that Map-Elites QD algorithms are able to compute a shortest path for each pair of nodes efficiently in parallel. Furthermore, we examine parent selection techniques for crossover that exhibit significant speed ups compared to the standard QD approach.

Abstract:Runtime analysis has recently been applied to popular evolutionary multi-objective (EMO) algorithms like NSGA-II in order to establish a rigorous theoretical foundation. However, most analyses showed that these algorithms have the same performance guarantee as the simple (G)SEMO algorithm. To our knowledge, there are no runtime analyses showing an advantage of a popular EMO algorithm over the simple algorithm for deterministic problems. We propose such a problem and use it to showcase the superiority of popular EMO algorithms over (G)SEMO: OneTrapZeroTrap is a straightforward generalization of the well-known Trap function to two objectives. We prove that, while GSEMO requires at least $n^n$ expected fitness evaluations to optimise OneTrapZeroTrap, popular EMO algorithms NSGA-II, NSGA-III and SMS-EMOA, all enhanced with a mild diversity mechanism of avoiding genotype duplication, only require $O(n \log n)$ expected fitness evaluations. Our analysis reveals the importance of the key components in each of these sophisticated algorithms and contributes to a better understanding of their capabilities.
Abstract:NSGA-II and NSGA-III are two of the most popular evolutionary multi-objective algorithms used in practice. While NSGA-II is used for few objectives such as 2 and 3, NSGA-III is designed to deal with a larger number of objectives. In a recent breakthrough, Wietheger and Doerr (IJCAI 2023) gave the first runtime analysis for NSGA-III on the 3-objective OneMinMax problem, showing that this state-of-the-art algorithm can be analyzed rigorously. We advance this new line of research by presenting the first runtime analyses of NSGA-III on the popular many-objective benchmark problems mLOTZ, mOMM, and mCOCZ, for an arbitrary constant number $m$ of objectives. Our analysis provides ways to set the important parameters of the algorithm: the number of reference points and the population size, so that a good performance can be guaranteed. We show how these parameters should be scaled with the problem dimension, the number of objectives and the fitness range. To our knowledge, these are the first runtime analyses for NSGA-III for more than 3 objectives.


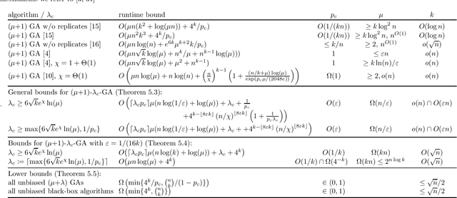
Abstract:The Jump$_k$ benchmark was the first problem for which crossover was proven to give a speedup over mutation-only evolutionary algorithms. Jansen and Wegener (2002) proved an upper bound of $O({\rm poly}(n) + 4^k/p_c)$ for the ($\mu$+1)~Genetic Algorithm ($(\mu+1)$ GA), but only for unrealistically small crossover probabilities $p_c$. To this date, it remains an open problem to prove similar upper bounds for realistic~$p_c$; the best known runtime bound for $p_c = \Omega(1)$ is $O((n/\chi)^{k-1})$, $\chi$ a positive constant. Using recently developed techniques, we analyse the evolution of the population diversity, measured as sum of pairwise Hamming distances, for a variant of the \muga on Jump$_k$. We show that population diversity converges to an equilibrium of near-perfect diversity. This yields an improved and tight time bound of $O(\mu n \log(k) + 4^k/p_c)$ for a range of~$k$ under the mild assumptions $p_c = O(1/k)$ and $\mu \in \Omega(kn)$. For all constant~$k$ the restriction is satisfied for some $p_c = \Omega(1)$. Our work partially solves a problem that has been open for more than 20 years.
Abstract:Runtime analysis has produced many results on the efficiency of simple evolutionary algorithms like the (1+1) EA, and its analogue called GSEMO in evolutionary multiobjective optimisation (EMO). Recently, the first runtime analyses of the famous and highly cited EMO algorithm NSGA-II have emerged, demonstrating that practical algorithms with thousands of applications can be rigorously analysed. However, these results only show that NSGA-II has the same performance guarantees as GSEMO and it is unclear how and when NSGA-II can outperform GSEMO. We study this question in noisy optimisation and consider a noise model that adds large amounts of posterior noise to all objectives with some constant probability $p$ per evaluation. We show that GSEMO fails badly on every noisy fitness function as it tends to remove large parts of the population indiscriminately. In contrast, NSGA-II is able to handle the noise efficiently on \textsc{LeadingOnesTrailingZeroes} when $p<1/2$, as the algorithm is able to preserve useful search points even in the presence of noise. We identify a phase transition at $p=1/2$ where the expected time to cover the Pareto front changes from polynomial to exponential. To our knowledge, this is the first proof that NSGA-II can outperform GSEMO and the first runtime analysis of NSGA-II in noisy optimisation.
Abstract:Quality diversity~(QD) is a branch of evolutionary computation that gained increasing interest in recent years. The Map-Elites QD approach defines a feature space, i.e., a partition of the search space, and stores the best solution for each cell of this space. We study a simple QD algorithm in the context of pseudo-Boolean optimisation on the ``number of ones'' feature space, where the $i$th cell stores the best solution amongst those with a number of ones in $[(i-1)k, ik-1]$. Here $k$ is a granularity parameter $1 \leq k \leq n+1$. We give a tight bound on the expected time until all cells are covered for arbitrary fitness functions and for all $k$ and analyse the expected optimisation time of QD on \textsc{OneMax} and other problems whose structure aligns favourably with the feature space. On combinatorial problems we show that QD finds a ${(1-1/e)}$-approximation when maximising any monotone sub-modular function with a single uniform cardinality constraint efficiently. Defining the feature space as the number of connected components of a connected graph, we show that QD finds a minimum spanning tree in expected polynomial time.
Abstract:Population diversity is crucial in evolutionary algorithms as it helps with global exploration and facilitates the use of crossover. Despite many runtime analyses showing advantages of population diversity, we have no clear picture of how diversity evolves over time. We study how population diversity of $(\mu+1)$ algorithms, measured by the sum of pairwise Hamming distances, evolves in a fitness-neutral environment. We give an exact formula for the drift of population diversity and show that it is driven towards an equilibrium state. Moreover, we bound the expected time for getting close to the equilibrium state. We find that these dynamics, including the location of the equilibrium, are unaffected by surprisingly many algorithmic choices. All unbiased mutation operators with the same expected number of bit flips have the same effect on the expected diversity. Many crossover operators have no effect at all, including all binary unbiased, respectful operators. We review crossover operators from the literature and identify crossovers that are neutral towards the evolution of diversity and crossovers that are not.
Abstract:It is an ongoing debate whether and how comma selection in evolutionary algorithms helps to escape local optima. We propose a new benchmark function to investigate the benefits of comma selection: OneMax with randomly planted local optima, generated by frozen noise. We show that comma selection (the $(1,\lambda)$ EA) is faster than plus selection (the $(1+\lambda)$ EA) on this benchmark, in a fixed-target scenario, and for offspring population sizes $\lambda$ for which both algorithms behave differently. For certain parameters, the $(1,\lambda)$ EA finds the target in $\Theta(n \ln n)$ evaluations, with high probability (w.h.p.), while the $(1+\lambda)$ EA) w.h.p. requires almost $\Theta((n\ln n)^2)$ evaluations. We further show that the advantage of comma selection is not arbitrarily large: w.h.p. comma selection outperforms plus selection at most by a factor of $O(n \ln n)$ for most reasonable parameter choices. We develop novel methods for analysing frozen noise and give powerful and general fixed-target results with tail bounds that are of independent interest.



Abstract:Evolutionary algorithms are popular algorithms for multiobjective optimisation (also called Pareto optimisation) as they use a population to store trade-offs between different objectives. Despite their popularity, the theoretical foundation of multiobjective evolutionary optimisation (EMO) is still in its early development. Fundamental questions such as the benefits of the crossover operator are still not fully understood. We provide a theoretical analysis of well-known EMO algorithms GSEMO and NSGA-II to showcase the possible advantages of crossover. We propose a class of problems on which these EMO algorithms using crossover find the Pareto set in expected polynomial time. In sharp contrast, they and many other EMO algorithms without crossover require exponential time to even find a single Pareto-optimal point. This is the first example of an exponential performance gap through the use of crossover for the widely used NSGA-II algorithm.
Abstract:Recent works showed that simple success-based rules for self-adjusting parameters in evolutionary algorithms (EAs) can match or outperform the best fixed parameters on discrete problems. Non-elitism in a (1,$\lambda$) EA combined with a self-adjusting offspring population size $\lambda$ outperforms common EAs on the multimodal Cliff problem. However, it was shown that this only holds if the success rate $s$ that governs self-adjustment is small enough. Otherwise, even on OneMax, the self-adjusting (1,$\lambda$) EA stagnates on an easy slope, where frequent successes drive down the offspring population size. We show that self-adjustment works as intended in the absence of easy slopes. We define everywhere hard functions, for which successes are never easy to find and show that the self-adjusting (1,$\lambda$) EA is robust with respect to the choice of success rates $s$. We give a general fitness-level upper bound on the number of evaluations and show that the expected number of generations is at most $O(d + \log(1/p_{\min}))$ where $d$ is the number of non-optimal fitness values and $p_{\min}$ is the smallest probability of finding an improvement from a non-optimal search point. We discuss implications for the everywhere hard function LeadingOnes and a new class OneMaxBlocks of everywhere hard functions with tunable difficulty.