



Abstract:Ensembling in deep learning improves accuracy and calibration over single networks. The traditional aggregation approach, ensemble averaging, treats all individual networks equally by averaging their outputs. Inspired by crowdsourcing we propose an aggregation method called soft Dawid Skene for deep ensembles that estimates confusion matrices of ensemble members and weighs them according to their inferred performance. Soft Dawid Skene aggregates soft labels in contrast to hard labels often used in crowdsourcing. We empirically show the superiority of soft Dawid Skene in accuracy, calibration and out of distribution detection in comparison to ensemble averaging in extensive experiments.




Abstract:High-resolution satellite imagery available immediately after disaster events is crucial for response planning as it facilitates broad situational awareness of critical infrastructure status such as building damage, flooding, and obstructions to access routes. Damage mapping at this scale would require hundreds of expert person-hours. However, a combination of crowdsourcing and recent advances in deep learning reduces the effort needed to just a few hours in real time. Asking volunteers to place point marks, as opposed to shapes of actual damaged areas, significantly decreases the required analysis time for response during the disaster. However, different volunteers may be inconsistent in their marking. This work presents methods for aggregating potentially inconsistent damage marks to train a neural network damage detector.


Abstract:A novel method to propagate uncertainty through the soft-thresholding nonlinearity is proposed in this paper. At every layer the current distribution of the target vector is represented as a spike and slab distribution, which represents the probabilities of each variable being zero, or Gaussian-distributed. Using the proposed method of uncertainty propagation, the gradients of the logarithms of normalisation constants are derived, that can be used to update a weight distribution. A novel Bayesian neural network for sparse coding is designed utilising both the proposed method of uncertainty propagation and Bayesian inference algorithm.


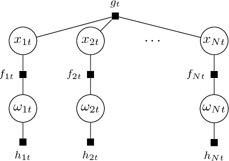
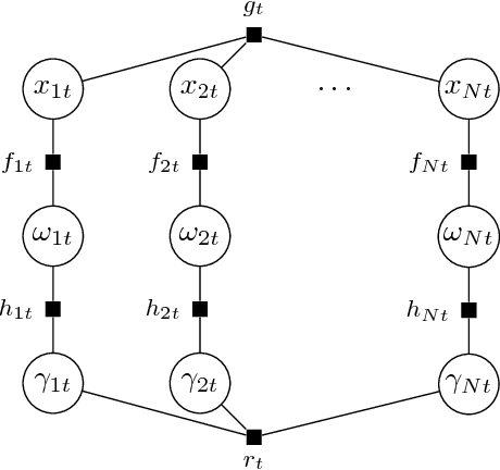
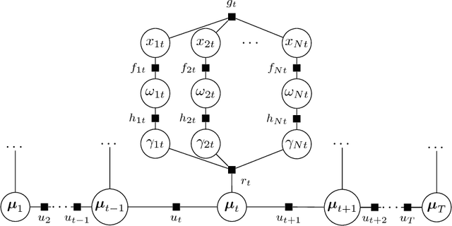
Abstract:Machine learning research for developing countries can demonstrate clear sustainable impact by delivering actionable and timely information to in-country government organisations (GOs) and NGOs in response to their critical information requirements. We co-create products with UK and in-country commercial, GO and NGO partners to ensure the machine learning algorithms address appropriate user needs whether for tactical decision making or evidence-based policy decisions. In one particular case, we developed and deployed a novel algorithm, BCCNet, to quickly process large quantities of unstructured data to prevent and respond to natural disasters. Crowdsourcing provides an efficient mechanism to generate labels from unstructured data to prime machine learning algorithms for large scale data analysis. However, these labels are often imperfect with qualities varying among different citizen scientists, which prohibits their direct use with many state-of-the-art machine learning techniques. We describe BCCNet, a framework that simultaneously aggregates biased and contradictory labels from the crowd and trains an automatic classifier to process new data. Our case studies, mosquito sound detection for malaria prevention and damage detection for disaster response, show the efficacy of our method in the challenging context of developing world applications.




Abstract:This paper introduces a new sparse spatio-temporal structured Gaussian process regression framework for online and offline Bayesian inference. This is the first framework that gives a time-evolving representation of the interdependencies between the components of the sparse signal of interest. A hierarchical Gaussian process describes such structure and the interdependencies are represented via the covariance matrices of the prior distributions. The inference is based on the expectation propagation method and the theoretical derivation of the posterior distribution is provided in the paper. The inference framework is thoroughly evaluated over synthetic, real video and electroencephalography (EEG) data where the spatio-temporal evolving patterns need to be reconstructed with high accuracy. It is shown that it achieves 15% improvement of the F-measure compared with the alternating direction method of multipliers, spatio-temporal sparse Bayesian learning method and one-level Gaussian process model. Additionally, the required memory for the proposed algorithm is less than in the one-level Gaussian process model. This structured sparse regression framework is of broad applicability to source localisation and object detection problems with sparse signals.




Abstract:Gaussian process regression is a machine learning approach which has been shown its power for estimation of unknown functions. However, Gaussian processes suffer from high computational complexity, as in a basic form they scale cubically with the number of observations. Several approaches based on inducing points were proposed to handle this problem in a static context. These methods though face challenges with real-time tasks and when the data is received sequentially over time. In this paper, a novel online algorithm for training sparse Gaussian process models is presented. It treats the mean and hyperparameters of the Gaussian process as the state and parameters of the ensemble Kalman filter, respectively. The online evaluation of the parameters and the state is performed on new upcoming samples of data. This procedure iteratively improves the accuracy of parameter estimates. The ensemble Kalman filter reduces the computational complexity required to obtain predictions with Gaussian processes preserving the accuracy level of these predictions. The performance of the proposed method is demonstrated on the synthetic dataset and real large dataset of UK house prices.




Abstract:Semi-supervised and unsupervised systems provide operators with invaluable support and can tremendously reduce the operators load. In the light of the necessity to process large volumes of video data and provide autonomous decisions, this work proposes new learning algorithms for activity analysis in video. The activities and behaviours are described by a dynamic topic model. Two novel learning algorithms based on the expectation maximisation approach and variational Bayes inference are proposed. Theoretical derivations of the posterior of model parameters are given. The designed learning algorithms are compared with the Gibbs sampling inference scheme introduced earlier in the literature. A detailed comparison of the learning algorithms is presented on real video data. We also propose an anomaly localisation procedure, elegantly embedded in the topic modeling framework. The proposed framework can be applied to a number of areas, including transportation systems, security and surveillance.




Abstract:Video analytics requires operating with large amounts of data. Compressive sensing allows to reduce the number of measurements required to represent the video using the prior knowledge of sparsity of the original signal, but it imposes certain conditions on the design matrix. The Bayesian compressive sensing approach relaxes the limitations of the conventional approach using the probabilistic reasoning and allows to include different prior knowledge about the signal structure. This paper presents two Bayesian compressive sensing methods for autonomous object detection in a video sequence from a static camera. Their performance is compared on the real datasets with the non-Bayesian greedy algorithm. It is shown that the Bayesian methods can provide the same accuracy as the greedy algorithm but much faster; or if the computational time is not critical they can provide more accurate results.


Abstract:In this paper a new Bayesian model for sparse linear regression with a spatio-temporal structure is proposed. It incorporates the structural assumptions based on a hierarchical Gaussian process prior for spike and slab coefficients. We design an inference algorithm based on Expectation Propagation and evaluate the model over the real data.




Abstract:This paper proposes a novel dynamic Hierarchical Dirichlet Process topic model that considers the dependence between successive observations. Conventional posterior inference algorithms for this kind of models require processing of the whole data through several passes. It is computationally intractable for massive or sequential data. We design the batch and online inference algorithms, based on the Gibbs sampling, for the proposed model. It allows to process sequential data, incrementally updating the model by a new observation. The model is applied to abnormal behaviour detection in video sequences. A new abnormality measure is proposed for decision making. The proposed method is compared with the method based on the non- dynamic Hierarchical Dirichlet Process, for which we also derive the online Gibbs sampler and the abnormality measure. The results with synthetic and real data show that the consideration of the dynamics in a topic model improves the classification performance for abnormal behaviour detection.