



Abstract:The reasoning steps generated by LLMs might be incomplete, as they mimic logical leaps common in everyday communication found in their pre-training data: underlying rationales are frequently left implicit (unstated). To address this challenge, we introduce RATIONALYST, a model for process-supervision of reasoning based on pre-training on a vast collection of rationale annotations extracted from unlabeled data. We extract 79k rationales from web-scale unlabelled dataset (the Pile) and a combination of reasoning datasets with minimal human intervention. This web-scale pre-training for reasoning allows RATIONALYST to consistently generalize across diverse reasoning tasks, including mathematical, commonsense, scientific, and logical reasoning. Fine-tuned from LLaMa-3-8B, RATIONALYST improves the accuracy of reasoning by an average of 3.9% on 7 representative reasoning benchmarks. It also demonstrates superior performance compared to significantly larger verifiers like GPT-4 and similarly sized models fine-tuned on matching training sets.
Abstract:The inductive bias of the convolutional neural network (CNN) can act as a strong prior for image restoration, which is known as the Deep Image Prior (DIP). In recent years, DIP has been utilized in unsupervised dynamic MRI reconstruction, which adopts a generative model from the latent space to the image space. However, existing methods usually utilize a single pyramid-shaped CNN architecture to parameterize the generator, which cannot effectively exploit the spatio-temporal correlations within the dynamic data. In this work, we propose a novel scheme to exploit the DIP prior for dynamic MRI reconstruction, named ``Graph Image Prior'' (GIP). The generative model is decomposed into two stages: image recovery and manifold discovery, which is bridged by a graph convolutional network to exploit the spatio-temporal correlations. In addition, we devise an ADMM algorithm to alternately optimize the images and the network parameters to further improve the reconstruction performance. Experimental results demonstrate that GIP outperforms compressed sensing methods and unsupervised methods over different sampling trajectories, and significantly reduces the performance gap with the state-of-art supervised deep-learning methods. Moreover, GIP displays superior generalization ability when transferred to a different reconstruction setting, without the need for any additional data.




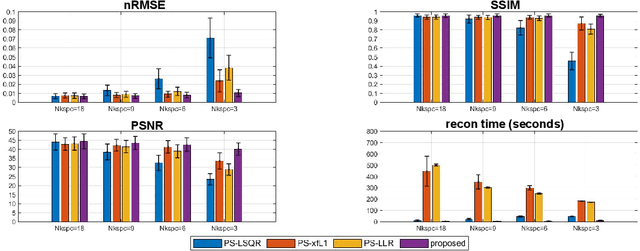
Abstract:Partial separable(PS) model is a powerful model for dynamic magnetic resonance imaging (MRI). PS model explicitly reduces the degree of freedom in the reconstruction problem, which is beneficial for high temporal resolution applications. However, long acquisition time and even longer reconstruction time prohibit the acceptance of PS model in daily practice. In this work, we propose to fully exploit the dimension-reduction property to accelerate the PS model. We optimize the data consistency term, and use a Tikhonov regularization term based on Frobenius norm of temporal difference, resulting in a totally dimension-reduced optimization technique. The proposed method is used for accelerating the free-running cardiac MRI. We have performed both retrospective experiments on public dataset and prospective experiments on in-vivo data, and compared the proposed method with least-square method and another two popular regularized PS model methods. The results show that the proposed method has robust performance against shortened acquisition time or suboptimal hyper-parameter settings, and achieves superior image quality over all other competing algorithms. The proposed method is 20-fold faster than the widely accepted PS+Sparse method, enabling data acquisition and image reconstruction to be completed in just a few seconds.