



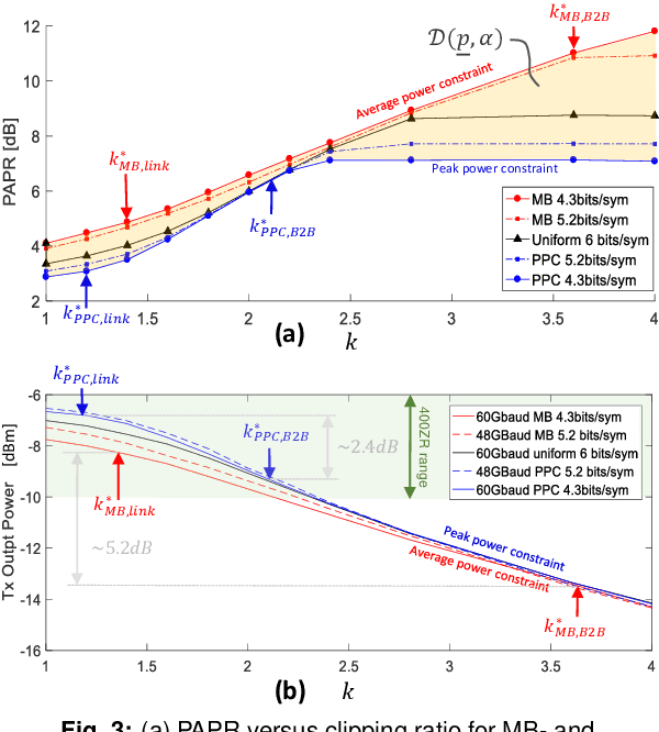
Abstract:We experimentally demonstrated an end-to-end link budget optimization over clipping in 400Gbps unamplified links, showing that the clipped MB distribution outperforms the peak-power constrained 64QAM by 1dB link budget.


Abstract:Several machine learning inspired methods for perturbation-based fiber nonlinearity (PBNLC) compensation have been presented in recent literature. We critically revisit acclaimed benefits of those over non-learned methods. Numerical results suggest that learned linear processing of perturbation triplets of PB-NLC is preferable over feedforward neural-network solutions.




Abstract:Derived from the regular perturbation treatment of the nonlinear Schrodinger equation, a machine learning-based scheme to mitigate the intra-channel optical fiber nonlinearity is proposed. Referred to as the perturbation theory-aided (PA) learned digital back-propagation (LDBP), the proposed scheme constructs a deep neural network (DNN) in a way similar to the split-step Fourier method: linear and nonlinear operations alternate. Inspired by the perturbation analysis, the intra-channel cross-phase modulation term is conveniently represented by matrix operations in the DNN. The introduction of this term in each nonlinear operation considerably improves the performance, as well as enables the flexibility of PA-LDBP by adjusting the numbers of spans per step. The proposed scheme is evaluated by numerical simulations of a single carrier optical fiber communication system operating at 32 Gbaud with 64-quadrature amplitude modulation and 20*80 km transmission distance. The results show that the proposed scheme achieves approximately 3.5 dB, 1.8 dB, 1.4 dB, and 0.5 dB performance gain in terms of Q2 factor over the linear compensation, when the numbers of spans per step are 1, 2, 4, and 10, respectively. Two methods are proposed to reduce the complexity of PALDBP, i.e., pruning the number of perturbation coefficients and chromatic dispersion compensation in the frequency domain for multi-span per step cases. Investigation of the performance and complexity suggests that PA-LDBP attains improved performance gains with reduced complexity when compared to LDBP in the cases of 4 and 10 spans per step.

Abstract:In this theoretical work, the DSP-perceived channel in optical coherent communications is first simplified, based on which we categorize linear MIMO equalizers into four classes according to their reference locations. The entire channel inverse can be represented by a complex conjugate-dependent system, coinciding with the widely linear equalization theory. Suboptimally removing FO dynamics, relatively static channel inverses parameterized with common device and channel parameters are presented for monitoring or calibration purposes.




Abstract:We propose a fiber nonlinearity post-compensation technique using the DNN and the second-order perturbation theory. We achieve 1 dB Q-factor improvement for a 32 Gbaud PDM-64-QAM at 1200 km compared to the linear dispersion compensation.