Abstract:Many communities, including the scientific community, develop implicit writing norms. Understanding them is crucial for effective communication with that community. Writers gradually develop an implicit understanding of norms by reading papers and receiving feedback on their writing. However, it is difficult to both externalize this knowledge and apply it to one's own writing. We propose two new writing support concepts that reify document and sentence-level patterns in a given text corpus: (1) an ordered distribution over section titles and (2) given the user's draft and cursor location, many retrieved contextually relevant sentences. Recurring words in the latter are algorithmically highlighted to help users see any emergent norms. Study results (N=16) show that participants revised the structure and content using these concepts, gaining confidence in aligning with or breaking norms after reviewing many examples. These results demonstrate the value of reifying distributions over other authors' writing choices during the writing process.





Abstract:Large language models (LLMs) are capable of generating multiple responses to a single prompt, yet little effort has been expended to help end-users or system designers make use of this capability. In this paper, we explore how to present many LLM responses at once. We design five features, which include both pre-existing and novel methods for computing similarities and differences across textual documents, as well as how to render their outputs. We report on a controlled user study (n=24) and eight case studies evaluating these features and how they support users in different tasks. We find that the features support a wide variety of sensemaking tasks and even make tasks previously considered to be too difficult by our participants now tractable. Finally, we present design guidelines to inform future explorations of new LLM interfaces.





Abstract:Evaluating outputs of large language models (LLMs) is challenging, requiring making -- and making sense of -- many responses. Yet tools that go beyond basic prompting tend to require knowledge of programming APIs, focus on narrow domains, or are closed-source. We present ChainForge, an open-source visual toolkit for prompt engineering and on-demand hypothesis testing of text generation LLMs. ChainForge provides a graphical interface for comparison of responses across models and prompt variations. Our system was designed to support three tasks: model selection, prompt template design, and hypothesis testing (e.g., auditing). We released ChainForge early in its development and iterated on its design with academics and online users. Through in-lab and interview studies, we find that a range of people could use ChainForge to investigate hypotheses that matter to them, including in real-world settings. We identify three modes of prompt engineering and LLM hypothesis testing: opportunistic exploration, limited evaluation, and iterative refinement.





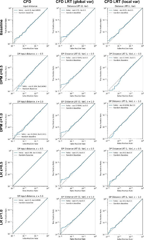
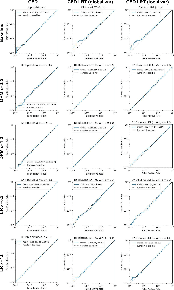
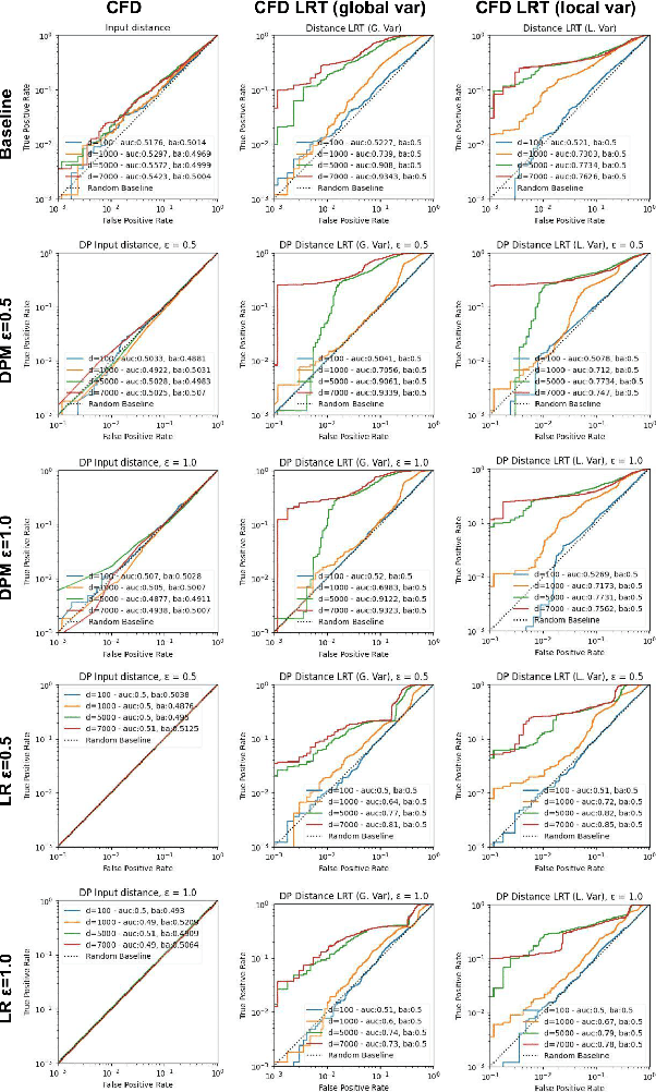
Abstract:Machine learning models are increasingly utilized across impactful domains to predict individual outcomes. As such, many models provide algorithmic recourse to individuals who receive negative outcomes. However, recourse can be leveraged by adversaries to disclose private information. This work presents the first attempt at mitigating such attacks. We present two novel methods to generate differentially private recourse: Differentially Private Model (DPM) and Laplace Recourse (LR). Using logistic regression classifiers and real world and synthetic datasets, we find that DPM and LR perform well in reducing what an adversary can infer, especially at low FPR. When training dataset size is large enough, we find particular success in preventing privacy leakage while maintaining model and recourse accuracy with our novel LR method.
