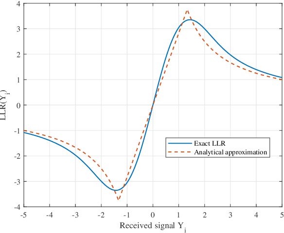
Abstract:We present a novel method for error correction in the presence of fading channel estimation errors (CEE). When such errors are significant, considerable performance losses can be observed if the wireless transceiver is not adapted. Instead of refining the estimate by increasing the pilot sequence length or improving the estimation algorithm, we propose two new approaches based on Guessing Random Additive Noise Decoding (GRAND) decoders. The first method involves testing multiple candidates for the channel estimate located in the complex neighborhood around the original pilot-based estimate. All these candidates are employed in parallel to compute log-likelihood ratios (LLR). These LLRs are used as soft input to Ordered Reliability Bits GRAND (ORBGRAND). Posterior likelihood formulas associated with ORBGRAND are then computed to determine which channel candidate leads to the most probable codeword. The second method is a refined version of the first approach accounting for the presence of residual CEE in the LLR computation. The performance of these two techniques is evaluated for [128,112] 5G NR CA-Polar and CRC codes. For the considered settings, block error rate (BLER) gains of several dBs are observed compared to cases where CEE is ignored.




Abstract:We introduce a novel approach to error correction decoding in the presence of additive alpha-stable noise, which serves as a model of interference-limited wireless systems. In the absence of modifications to decoding algorithms, treating alpha-stable distributions as Gaussian results in significant performance loss. Building on Guessing Random Additive Noise Decoding (GRAND), we consider two approaches. The first accounts for alpha-stable noise in the evaluation of log-likelihood ratios (LLRs) that serve as input to Ordered Reliability Bits GRAND (ORBGRAND). The second builds on an ORBGRAND variant that was originally designed to account for jamming that treats outlying LLRs as erasures. This results in a hybrid error and erasure correcting decoder that corrects errors via ORBGRAND and corrects erasures via Gaussian elimination. The block error rate (BLER) performance of both approaches are similar. Both outperform decoding assuming that the LLRs originated from Gaussian noise by 2 to 3 dB for [128,112] 5G NR CA-Polar and CRC codes.




Abstract:In this paper, performance of an Integrated Sensing and Communication (ISAC) Vehicle-to-Everything (V2X) scenario is evaluated, in which a vehicle simultaneously detects the next vehicle ahead while receiving a communication signal from a RoadSide Unit (RSU) of the infrastructure. Univariate and joint radar and communication performance metrics are evaluated within three different frameworks, namely the Stochastic Geometry (SG), Monte-Carlo (MC), and Ray-Tracing (RT) frameworks. The parameters of the system model are extracted from the RT simulations, and the metrics are compared to assess the accuracy of the SG framework. It is shown that the SG and MC system models are relevant w.r.t. RT simulations for the evaluation of univariate communication and sensing metrics, but larger discrepancies are observed for the joint metrics.




Abstract:This study proposes a novel stochastic geometry framework analyzing power control strategies in spatially correlated network topologies. Heterogeneous networks are studied, with users modeled via the superposition of homogeneous and Poisson cluster processes. First, a new expression approaching the distribution of the number of users per base station is provided. This distribution defines the load associated with each Vorono\"i cell, capturing non-uniformities in user locations and correlation to BSs positions. The power allocation is adjusted based on this load, allowing BSs to enter sleep mode when their activity falls below a defined threshold. Furthermore, the propagation model features millimeter wave transmission characteristics and directional beamforming. Considering these aspects, revisited definitions of coverage probability, spectral efficiency, and energy efficiency are proposed. Tractable expressions for these metrics are derived and validated using Monte-Carlo simulations. Asymptotic expressions are also proposed, providing further understanding on the influence of the system parameters. Our numerical results finally analyze the impact of the sleep control on the performance and display the optimal strategies in terms of energy efficiency.




Abstract:The objective of this study is to jointly analyze the data rate and electromagnetic field (EMF) exposure in urban environments. Capitalizing on stochastic geometry (SG), a network level analysis is performed by modelling these environments via Manhattan Poisson line processes (MPLP). Using this framework, a number of performance metrics are derived: first moments, marginal distributions and joint distributions of the data rate and exposure. In addition, the original Manhattan model is generalized to include advanced features: corner diffraction, presence of potential blockages in streets, and users positioned at crossroads. As a second approach, deterministic ray tracing (RT) is utilized to compute the same metrics. The two methods are shown to provide close results on the condition that the model parameters are coherently selected. Furthermore, the numerical results enable to gain insight into several aspects: the role of the propagation mechanisms in the performance metrics, existing trade-offs between the rate and exposure requirements, as well as the impact of the user location (at a crossroad or in a single street). (This work has been submitted to the IEEE for possible publication. Copyright may be transferred without notice, after which this version may no longer be accessible)




Abstract:The objective of this study is to analyze the statistics of the data rate and of the incident power density (IPD) in user-centric cell-free networks (UCCFNs). To this purpose, our analysis proposes a number of performance metrics derived using stochastic geometry (SG). On the one hand, the first moments and the marginal distribution of the IPD are calculated. On the other hand, bounds on the joint distributions of rate and IPD are provided for two scenarios: when it is relevant to obtain IPD values above a given threshold (for energy harvesting purposes), and when these values should instead remain below the threshold (for public health reasons). In addition to deriving these metrics, this work incorporates features related to UCCFNs which are new in SG models: a power allocation based on collective channel statistics, as well as the presence of potential overlaps between adjacent clusters. Our numerical results illustrate the achievable trade-offs between the rate and IPD performance. For the considered system, these results also highlight the existence of an optimal node density maximizing the joint distributions. (This work has been submitted to the IEEE for possible publication. Copyright may be transferred without notice, after which this version may no longer be accessible.)




Abstract:In this paper, multiple metrics are presented in order to jointly evaluate the performance of the radar and communication functions in scenarios involving Dual Function Radar Communication (DFRC) systems using stochastic geometry. These metrics are applied in an automotive scenario involving a two-lane road with vehicles and smart traffic lights, both equipped with DFRC systems. First, the performance achieved with these metrics are validated using Monte-Carlo (MC) simulations. Additionally, optimisation w.r.t. the power of the vehicles and smart traffic lights is performed based on the metrics. Then, the model is extended to include interference cancellation for the radar and/or communication function in all the metrics. Either full interference cancellation is applied, or a new model is proposed for imperfect interference cancellation.




Abstract:This paper considers a joint transmission scheme (JT) developed for cloud radio access networks (C-RANs). This proposed scheme features cooperative sets of remote radio heads (RRH) defined in a disk around each user location. The nodes belonging to each of these sets perform a weighted maximum ratio transmission to jointly serve the user. The powers allocated to the beamformers are computed at the network baseband unit, taking into account channel gains, as well an equity criterion between the users. In comparison with the existing literature, our model includes a saturation assumption, with all transmissions taking place over the same resource block. A RRH belonging to multiple sets can hence transmit to several users simultaneously. The distributions of the network coverage and spectral efficiency are calculated by means of stochastic geometry (SG), and compared with Monte Carlo simulations. The derived expressions take into account the power allocation, the user and RRH densities, as well as the statistical correlation resulting from the set overlaps.