Abstract:A movable antennas (MAs)-enabled secure multiuser transmission framework is developed to enhance physical-layer security. Novel expressions are derived to characterize the achievable sum secrecy rate based on the secure channel coding theorem. On this basis, a joint optimization algorithm for digital beamforming and MA placement is proposed to maximize the sum secrecy rate via fractional programming and block coordinate descent. In each iteration, every variable admits either a closed-form update or a low-complexity one-dimensional or bisection search, which yields an efficient implementation. Numerical results demonstrate the effectiveness of the proposed method and show that the MA-enabled design achieves higher secrecy rates than conventional fixed-position antenna arrays.



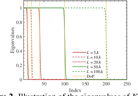
Abstract:The spatial degrees of freedom (DoFs) of a continuous-aperture array (CAPA)-based continuous electromagnetic (EM) channel are analyzed. To this end, a simplified spatial model is derived using the Fresnel approximation. Leveraging this model and Landau's theorem, a closed-form expression for the spatial DoFs is derived. It is demonstrated that the number of DoFs is proportional to the transmit and receive aperture sizes while being inversely proportional to the propagation distance. Numerical results are provided to validate the accuracy of the derived expressions.




Abstract:A continuous-aperture array (CAPA)-based integrated sensing and communications (ISAC) framework is proposed for both downlink and uplink scenarios. Within this framework, continuous operator-based signal models are employed to describe the sensing and communication processes. The performance of communication and sensing is analyzed using two information-theoretic metrics: the communication rate (CR) and the sensing rate (SR). 1) For downlink ISAC, three continuous beamforming designs are proposed: i) the communications-centric (C-C) design that maximizes the CR, ii) the sensing-centric (S-C) design that maximizes the SR, and iii) the Pareto-optimal design that characterizes the Pareto boundary of the CR-SR region. A signal subspace-based approach is proposed to derive the closed-form optimal beamformers for the considered designs. On this basis, closed-form expressions are derived for the achievable CRs and SRs, and the downlink rate region achieved by CAPAs is characterized. 2) For uplink ISAC, the C-C and S-C successive interference cancellation (SIC)-based methods are proposed to manage inter-functionality interference. Using the subspace approach along with the time-sharing technique, closed-form expressions for the optimal beamformers are derived, and the achievable CRs, SRs, and rate region are analyzed. Numerical results demonstrate that, for both downlink and uplink, CAPA-based ISAC achieves higher CRs and SRs as well as larger CR-SR regions compared to conventional spatially discrete array (SPDA)-based ISAC.



Abstract:The channel statistics of a continuous-aperture array (CAPA)-based channel are analyzed using its continuous electromagnetic (EM) properties. The received signal-to-noise ratio (SNR) is discussed under isotropic scattering conditions. Using Landau's theorem, the eigenvalues of the autocorrelation of the EM fading channel are shown to exhibit a step-like behavior. Building on this, closed-form expressions for the probability distribution of the SNR and the average channel capacity are derived. Numerical results are provided to validate the accuracy of the derivations.
Abstract:A continuous-aperture array (CAPA)-based secure transmission framework is proposed to enhance physical layer security. Continuous current distributions, or beamformers, are designed to maximize the secrecy transmission rate under a power constraint and to minimize the required transmission power for achieving a specific target secrecy rate. On this basis, the fundamental secrecy performance limits achieved by CAPAs are analyzed by deriving closed-form expressions for the maximum secrecy rate (MSR) and minimum required power (MRP), along with the corresponding optimal current distributions. To provide further insights, asymptotic analyses are performed for the MSR and MRP, which reveals that i) for the MSR, the optimal current distribution simplifies to maximal ratio transmission (MRT) beamforming in the low-SNR regime and to zero-forcing (ZF) beamforming in the high-SNR regime; i) for the MRP, the optimal current distribution simplifies to ZF beamforming in the high-SNR regime. The derived results are specialized to the typical array structures, e.g., planar CAPAs and planar spatially discrete arrays (SPDAs). The rate and power scaling laws are further analyzed by assuming an infinitely large CAPA. Numerical results demonstrate that: i) the proposed secure continuous beamforming design outperforms MRT and ZF beamforming in terms of both achievable secrecy rate and power efficiency; ii) CAPAs achieve superior secrecy performance compared to conventional SPDAs.




Abstract:The secrecy performance in both near-field and far-field communications is analyzed using two fundamental metrics: the secrecy capacity under a power constraint and the minimum power requirement to achieve a specified secrecy rate target. 1) For the secrecy capacity, a closed-form expression is derived under a discrete-time memoryless setup. This expression is further analyzed under several far-field and near-field channel models, and the capacity scaling law is revealed by assuming an infinitely large transmit array and an infinitely high power. A novel concept of "depth of insecurity" is proposed to evaluate the secrecy performance achieved by near-field beamfocusing. It is demonstrated that increasing the number of transmit antennas reduces this depth and thus improves the secrecy performance. 2) Regarding the minimum required power, a closed-form expression is derived and analyzed within far-field and near-field scenarios. Asymptotic analyses are performed by setting the number of transmit antennas to infinity to unveil the power scaling law. Numerical results are provided to demonstrate that: i) compared to far-field communications, near-field communications expand the areas where secure transmission is feasible, specifically when the eavesdropper is located in the same direction as the intended receiver; ii) as the number of transmit antennas increases, neither the secrecy capacity nor the minimum required power scales or vanishes unboundedly, adhering to the principle of energy conservation.




Abstract:The capacity limits of continuous-aperture array (CAPA)-based wireless communications are characterized. To this end, an analytically tractable transmission framework is established for both uplink and downlink CAPA systems. Based on this framework, closed-form expressions for the single-user channel capacity are derived. The results are further extended to a multiuser case by characterizing the capacity limits of a two-user channel and proposing the associated capacity-achieving decoding and encoding schemes. 1) For the uplink case, the sum-rate capacity and capacity region, as well as the capacity-achieving detectors, are derived. 2) For the downlink case, the uplink-downlink duality is established by deriving the uplink-to-downlink and downlink-to-uplink transformations under the same power constraint, based on which the optimal power allocation policy and the achieved sum-rate capacity and capacity region are characterized. To gain further insights, several case studies are presented by specializing the derived results into various array structures, including the planar CAPA, linear CAPA, and planar spatially discrete array (SPDA). Numerical results are provided to reveal that: i) the channel capacity achieved by CAPAs converges towards a finite upper bound as the aperture size increases; and ii) CAPAs offer significant capacity gains over the conventional SPDAs.
Abstract:The near-field channel gain is analyzed by considering both radiating and reactive components of the electromagnetic field. Novel expressions are derived for the channel gains of spatially-discrete (SPD) and continuous-aperture (CAP) arrays, which are more accurate than conventional results that neglect the reactive region. To gain further insights, asymptotic analyses are carried out in the large aperture size, based on which the impact of the reactive region is discussed. It is proved that for both SPD and CAP arrays, the impact of the reactive region on near-field channel gain is negligible, even as the array aperture size approaches infinity.




Abstract:A near-field holographic multiple-input multiple-output (MIMO) based integrated sensing and communications (ISAC) framework is proposed for both downlink and uplink scenarios, where spherical wave-based model is considered to capture the characteristics of the near field. The coupling effect introduced by the densely spaced antennas of the holographic MIMO are characterized by spatially correlated Rayleigh fading. Based on the proposed framework, by considering both instantaneous channel state information (CSI) and statistical CSI, closed-form expressions are derived for sensing rates (SRs), communication rates (CRs), and outage probabilities under different ISAC designs. Further insights are gained by examining high signal-to-noise ratio slopes and diversity orders. Specifically, 1) for the downlink case, a sensing-centric (S-C) design and a communications-centric (C-C) design are investigated based on different beamforming strategies, and a Pareto optimal design is proposed to characterize the attainable SR-CR region; and 2) for the uplink case, the S-C design and the C-C design are distinguished by the interference cancellation order of the communication signal and the sensing signal, and the rate region is obtained through a time-sharing strategy. Numerical results reveal that the proposed ISAC system achieves more extensive rate regions than the conventional frequency-division sensing and communications system, highlighting its superior performance.




Abstract:The technical trends for the next-generation wireless network significantly extend the near-field region, necessitating a reevaluation for the performance of integrated sensing and communications (ISAC) to account for the effects introduced by the near field. In this paper, a near-field ISAC framework is proposed with a more accurate channel model than the three conventional models (TCMs): uniform plane wave, uniform spherical wave, and non-uniform spherical wave, in which the effective aperture of the antenna is considered. Based on the proposed model, sensing and communication (S&C) performance in both downlink and uplink scenarios are analyzed. For the downlink case, three distinct designs are studied: the communications-centric (C-C) design, the sensing-centric (S-C) design, and the Pareto optimal design. Regarding the uplink case, the C-C design, the S-C design and the time-sharing strategy are considered. Within each design, sensing rates (SRs) and communication rates (CRs) are derived. To gain further insights, high signal-to-noise ratio slopes and rate scaling laws concerning the number of antennas are also examined. Finally, the attainable SR-CR regions of the near-field ISAC are characterized. Numerical results reveal that 1) as the number of antennas grows, the SRs and CRs of the proposed model converges to constants, while those of the TCMs increase unboundedly; 2) ISAC achieves a more extensive rate region than the conventional frequency-division S&C in both downlink and uplink cases.